The East Asian Society Of Dietary Life
[ Article ]
Journal of the East Asian Society of Dietary Life - Vol. 35, No. 6, pp.586-596
ISSN: 1225-6781 (Print) 2288-8802 (Online)
Print publication date 31 Dec 2025
Received 11 Nov 2025 Revised 24 Nov 2025 Accepted 26 Nov 2025
DOI: https://doi.org/10.17495/easdl.2025.12.35.6.586

‘바로미2’와 밀가루 혼합물의 물리화학적 특성을 통한 부침가루의 쌀가루 활용성 평가

박혜영1, ; 곽지은2 ; 김현주1 ; 박지영1 ; 이충근3 ; 김미향1 ; 이진영1 ; 오유근1 ; 곽강수4 ; 홍수영4 ; 이유영4
1국립식량과학원 품질관리평가과 농업연구사
2국립식량과학원 기획조정과 농업연구사
3국립식량과학원 중북부작물연구센터 농업연구관
4국립식량과학원 품질관리평가과 농업연구관
Evaluation of the Usability of Rice Flour in Buchimgaru (Korean Pancake Premixes) Based on the Physicochemical Properties of ‘Baromi2’ and Wheat Flour Blends
Hye-Young Park1, ; Jieun Kwak2 ; Hyun-Joo Kim1 ; Jiyoung Park1 ; Chung-gun Lee3 ; Mihyang Kim1 ; Jin Young Lee1 ; You-Geun Oh1 ; Kang-Su Kwak4 ; Su Young Hong4 ; Yu-Young Lee4
1Assistant Researcher, Quality Management and Evaluation Research Division, National Institute of Crop and Food Science, RDA, Suwon 16429, Republic of Korea
2Assistant Researcher, Planning and Coordination Division, National Institute of Crop and Food Science, RDA, Jeonju 55365, Republic of Korea
3Senior Researcher, Central-Northern Region Crop Research Center, National Institute of Crop and Food Science, RDA, Suwon 16429, Republic of Korea
4Senior Researcher, Quality Management and Evaluation Research Division, National Institute of Crop and Food Science, RDA, Suwon 16429, Republic of Korea

Correspondence to: Hye-Young Park, Tel: +82-31-695-0626, Fax: +82-31-695-0609, E-mail: phy0316@korea.kr

Abstract

This study examined the physicochemical properties of rice flour mixtures with wheat flour to evaluate the suitability of ‘Baromi2’ rice flour as a substitute for wheat flour in Buchimgaru (Korean pancake mixes). The samples were prepared using combinations of ‘Baromi2’ and wheat flour at the following ratios: 0:100 (BRM-0), 25:75 (BRM-25), 50:50 (BRM-50), 75:25 (BRM-75), and 100:0 (BRM-100). All measured characteristics during starch gelatinization, including the peak and trough viscosity, increased significantly as the ‘Baromi2’ mixing ratios increased (p<0.05). On the other hand, the batter viscosity of BRM-100 was 7.3% lower than that of BRM-0, and the diameter of the pancake increased, and the thickness decreased as the fluidity increased (p<0.05). Other analysis items could be observed without the influence of moisture because the moisture content of the pancakes did not vary between samples. The lipid content decreased as the ‘Baromi2’ blending ratio increased, suggesting potential health benefits from wheat flour substitution. All textural properties except stickiness decreased (p<0.05), which could significantly impact future consumer preferences. The characteristics that exhibited high positive and negative correlations with the ‘Baromi2’ blending ratio were identified through correlation analysis. These results confirmed that the ‘Baromi2’ blending ratio is a crucial factor affecting Buchimgae quality. The findings of this study are expected to provide foundational data for determining the optimal ‘Baromi2’ mixing ratio in future research.

Keywords:

‘Baromi2’, rice flour, mixing ratio, Buchimgae

서 론

식생활의 변화, 1인 가구의 증가, 농업기술 발달 등으로 쌀(Orzya sativa L.)의 1인당 소비량은 2015년 62.9 kg 대비 2024년 55.8 kg으로 크게 감소한 반면, 같은 해 사업체 부문의 소비량은 873,363톤으로 전년도 대비 34%가 증가하였다 [Korean Statistical Information Service(KOSIS) 2025]. 일찍이 이러한 쌀 소비처 변화에 발맞추어 2022년에 쌀 가공산업 활성화 대책이 발표되었고[Ministry of Agriculture Food and Rural Affairs(MAFRA) 2025a], 2024년에는 ‘제3차 쌀 가공산업 육성 및 쌀 이용 촉진에 관한 5개년 기본계획’이 시행되었다(MAFRA 2025b). ‘바로미2’는 쌀가루 전용 품종(Ha SK 등 2022)으로 건식제분에 적합하여 제분 비용 절감, 폐수 발생 차단, 생산비 및 시간을 단축할 수 있으며(Park HY 등 2023), 쌀 공급과잉을 개선하고 식량자급률 제고를 위한 수입 밀 대체의 목표를 두고 다양한 실천 전략의 중심에 서 있다(MAFRA 2025c).

이에 따라 최근에 ‘바로미2’ 품종을 대상으로 한 기초연구에서 밀가루 대체를 위한 품목별 응용연구까지 다양한 연구가 수행되었다. ‘바로미2’의 기초연구로는 곡립 경도와 건식 제분 적합성(Ha SK 등 2022), 일반성분 및 미량영양소(Park HY 등 2023), 부침가루 적용을 위한 ‘바로미2’와 밀가루 혼합비율에 따른 이화학적 특성(Park HY 등 2024), 수 발아율에 따른 도정 및 이화학적 특성(Yang S 등 2025)의 연구가 수행되었다. 응용연구는 대부분 가루쌀 정책 취지에 맞추어 쌀 가공 제품보다는 수입밀 소비 품목 중심으로 기존 밀가루 원료의 ‘바로미2’ 대체 조건에 따른 가공적성과 품질에 관한 연구가 수행되었다. 가장 많은 연구가 이루어진 품목은 제과·제빵 품목으로 밀가루 글루텐이 품질에 미치는 영향에 따라서 ‘바로미2’의 대체 비율이 정해지는 것으로 나타났고 Kim GH 등(2023)이 제시한 바게트는 ‘바로미2’의 적정한 대체 비율을 10%로 제안하였다. 그 외 스펀지케이크에서 20% (Ahn JS & Yoon HY 2024), 머핀에서 20%(Kim JS 2024), 스냅쿠키에서 50%(Ha HM 등 2024a)의 대체 가능성을 시사하였다. 국수(Jeong GA 등 2023; Yoon J 등 2024a)와 수제비(Yoon J 등 2024b) 연구에서는 ‘바로미2’ 대체율 20%를 적절하다고 제시하였고, 닭 튀김용 프리믹스는 밀가루 100%를 ‘바로미2’로 대체하였을 때 오히려 높은 기호도를 나타내어 글루텐프리 제품으로서의 가능성을 제시하였다(Ha HM 등 2024b).

본 연구에서는 지금까지 수행된 바 없는 ‘바로미2’의 부침가루 적용을 위하여 전분질 주재료인 ‘바로미2’와 밀가루의 혼합조건에 따른 반죽과 부침개의 기본적 특성을 살펴보고자 하였다. 부침가루는 빵이나 국수와 달리 적절한 재료의 혼합과 반죽내 물 첨가량의 조정으로 최종 가공품의 외형적 완성도를 높일 수 있으나, 식품으로서 소비 기호와 제조 효율성 관련한 기기 및 인간대상의 평가를 고려하지 않을 수 없다. 지금까지의 부침개 혹은 전(煎)의 연구가 일부의 전분질 재료를 혼합하거나 기능성 첨가물에 대한 영향을 살펴보았다고 하면, 본 연구에서는 밀 대체율 100%까지 전 범위의 특성 변화를 살펴봄으로써 적정 수준에서의 밀가루 대체율과 함께 글루텐프리 부침가루의 기초 특성을 확보하여 ‘바로미2’의 이용성을 증진시키기 위한 산업적 기초자료를 마련하고자 하였다.


재료 및 방법

1. 실험재료

본 연구에서 사용한 쌀가루는 농촌진흥청에서 분질미로 개발한 ‘바로미2’ 품종으로 2022년에 생산된 쌀을 새롬푸드(Saerom Food Co., Icheon, Korea)에서 2023년에 제분하여 판매하는 제품을 구매하여 사용하였다. 밀가루는 대한제분(Daehan flour mills Co., Ltd, Seoul, Korea)에서 생산한 중력분 제품으로 100% 수입 원료이며 쌀가루와 같이 2023년 구매하였으며 모든 시료는 —20℃의 냉동 조건으로 보관하며 사용하였다.

2. 쌀가루와 밀가루의 혼합

시료 제조는 Park HY 등(2024)의 방법과 동일하게 수행하였다. 시료는 5개 조건으로 쌀가루 혼합율에 따라 BRM-0(밀가루 100%), BRM-25(‘바로미2’ 25%+밀가루 75%), BRM-50(‘바로미2’ 50%+밀가루 50%), BRM-75(‘바로미2’ 75%+밀가루 25%), BRM-100(‘바로미2’ 100%)으로 구분하여 제조하였다. 먼저 냉동보관 시료를 꺼내 상온에서 일정시간 방치하여 시료의 온도를 높인 후 두 시료의 입자 분포의 편차 발생을 최소화하기 위하여 표준체망(sieve opening 425 μm, CISA No. 11, CEE CISA, Spain)으로 체 내림을 3회 반복하면서 섞어 주었다. 혼합율 외 모든 시료의 제조조건을 동일하게 부여하기 위하여 BRM-0와 BRM-100도 체 내림을 함께 수행하였다.

3. 반죽 및 부침개 제조

본 연구에서는 ‘바로미2’ 쌀가루와 밀가루 혼합에 따라 작물 중심의 고유한 특성이 어떻게 변화되는지 살펴보고자 주요 특성에 영향을 줄 수 있는 부재료와 양념류를 배제하여 부침개 시트를 제조하였다. 이를 위하여 먼저 반죽 제조는 각 혼합 가루시료 30 g에 물 49.5 g을 동일하게 가하여 덩어리진 부분이 없도록 가루를 물에 잘 풀어주었다. 부침개 시트의 제조는 인덕션레인지(HC-IH4000, 1,800 W, Happycall Ltd, Seoul, Korea)를 140℃로 작동시켜 프라이팬(직경 28 cm, Tefal, China) 바닥 온도가 105℃가 되었을 때 식용유(옥수수유, Cheiljedang, Korea) 2 mL를 가한 후 제조한 반죽 전량을 프라이팬 중앙에 부어 자연적으로 퍼지는 크기대로 1분∼1분 30초 간격으로 4분간 뒤집어 가며 익혀 부침개 시트를 완성하였다.

4. 가루의 전분 호화특성 분석

시료의 전분 호화특성은 신속점도계(RVA-4500, Perten Instruments, Hagersten, Sweden)를 사용하여 측정하였다. 알루미늄 캔에 수분함량 14%로 보정한 시료 3 g을 넣은 후 증류수 25 mL를 섞어 현탁액을 만들었다. 분석을 위한 온도, 시간, 혼합조건은 맨 처음 50℃, 960 rpm 조건에서 10초 동안 현탁액을 균질화한 후, 160 rpm 조건으로 1분간 유지시켰다. 온도를 95℃까지 12/min의 속도로 4.7분 동안 가열한 다음 2분 30초간 유지한 후, 다시 50℃까지 12/min의 속도로 3분 40초 동안에 냉각시키면서 호화점도를 측정하였다. 측정항목은 최고점도(peak viscosity), 최저점도(through viscosity), 최종점도(final viscosity), 강하점도(breakdown viscosity) 및 치반점도(setback viscosity)을 산출하였으며, 점도 단위는 RVU(rapid viscosity unit)로 표시하였다. 각 항목의 RVA 점도는 5회 측정한 값의 평균값으로 도출하였다.

5. 반죽의 점도와 유동성 분석

혼합가루 100 g : 물 165 mL의 비율로 반죽을 제조하였다. 제조한 반죽 130 mL를 취하여 점도 측정을 위한 용기(Specimen cup, 120 mL, SPL Life Science, Korea)에 옮긴 후 점도계(RVT DV-Ⅱ, Brookfield Engineering Lab., Inc., Middleboro, MA, USA)의 spindle No. 63를 사용하여 10 rpm으로 회전시키며 1분 경과 시점에 측정하였다. 유동성은 consistometer(Bostwick consistometer LD-BC-24, CSC Scientific Company, Inc., Fairfax, VA, USA) 시료함에 반죽을 75 mL 채운 후 시료함을 개방할 수 있는 레버를 들어 올려 20초간 반죽이 이동한 거리(cm)를 측정하였다.

6. 반죽 및 부침개 색도 분석

반죽과 부침개의 색도는 각 시료를 투명 플라스틱 용기(Tissue culture dish ∅ 60 mm, TPP Techno Plastic Products AG, Trasadingen, Switzerland)에 넣고 파라필름으로 밀봉 후 색차계(CM-3500d, Minolta, Tokyo, Japan)를 이용하여 측정하였다. 측정값은 Hunter’s value인 명도(L-value, lightness), 적색도(a-value, redness) 및 황색도(b-value, yellowness)였으며, 표준백판의 색도는 L-value=98.81, a-value=—0.09, b-value=—0.37이었다.

7. 부침개 크기 계측 및 주요 일반성분 분석

부침개 크기 계측은 부침개 제조 후 상온에서 60분간 방랭 후 가장 긴지름과 짧은지름을 측정하였고, 두께는 캘리퍼스(Digimatic Caliper CD-15APX, Mitutoyo Co., Kawasaki, Japan)로 시료가 눌리지 않는 최소 길이로 측정하였다. 부침개의 수분과 지방 분석은 AOAC(2000)방법에 따라 수행하였다. 수분함량 측정은 상압가열건조법으로 건조기(OF-155, Daihan Scientific Co., Ltd, Wonju, Korea)를 이용하여 105℃에서 측정하였고, 지방함량은 에틸에테르를 용매로 soxhlet 추출기(Soxtec system HT 1043 extraction unit, Foss Tecator, Hoganas, Sweden)를 사용하여 분석하였다.

8. 부침개 물성 분석

물성 분석용 부침개는 TPA(texture profile analysis)가 가능하도록 반죽 15 mL을 취하여, 직경 6 cm, 높이 4.5 cm의 스테인리스 원통을 이용하여 기존 부침개보다 두꺼운 부침개를 제조하였다. 완성한 부침개는 상온으로 식힌 후 20 × 20 mm 크기로 잘라 물성 측정용 시료를 준비하였다. 물성분석기(TestXpertⅡ, Zwick Roell, Ulm, UK)를 사용하였으며, pre-test speed 5.0 mm/sec, post-test speed 2.0 mm/sec, strain 50%, probe diameter 35 mm의 조건으로 경도(hardness), 점착성(adhesiveness), 탄력성(springiness), 응집성(cohesiveness), 검성(gumminess), 씹힘성(chewiness)을 측정하였다.

9. 통계처리

본 실험결과의 통계분석은 SPSS 프로그램(Statical Package for Social Science, version 12, SPSS Inc., Chicago, IL, USA)을 사용하였다. 물리화학적 특성 분석에서 3회 이상 반복 측정된 값은 평균과 표준편차를 산출하였고, 각 분석 항목의 5종 시료간 유의성 검정은 일원 분산분석(one-way ANOVA)과 다중범위 검정법(Duncan’s multiple range test)을 독립적으로 수행하였다.


결과 및 고찰

1. 가루의 전분 호화특성

전분 입자의 현탁액을 가열하면 팽윤 된 후 비가역적으로 붕괴가 일어나 전분 입자들의 형태가 소실되고 외관상의 점성으로 대표할 수 있는 유동학적 성질들이 크게 변화한다. 이것은 전분 입자들의 평균적인 크기나 분포, 전분 입자를 구성하고 있는 3차원 구조에 따른 고유한 특성으로 전분 종류에 따라 다르다(Kim DH 2015). 본 연구에서 두 가지 작물 즉, ‘바로미2’ 쌀가루와 밀가루 혼합비율에 따라 호화 과정 중 변화되는 점도를 측정하여 전분 특성을 살펴보고자 하였으며 결과는 Fig. 1과 같다. 가열시간 초기에 ‘바로미2’의 혼합비율을 달리하는 5가지 시료는 유사한 수준을 나타냈으나, 4분이 경과되면서 모든 시료의 점도는 함께 증가하기 시작하였다. 각 시료의 점도 증가 속도의 차이로 점도 값 차이는 벌어졌고, 6분이 경과되면서 나타난 최고점도는 BRM-0가 133 RVU, BRM-25가 141 RVU, BRM-50이 152 RVU, BRM-75가 165 RVU, BRM-100이 181 RVU로 ‘바로미2’ 혼합비율이 높아질수록 점도가 유의적으로 증가하는 것을 확인할 수 있었다(p<0.05). 이러한 경향은 최저점도(89∼106 RVU), 최종점도(157∼212 RVU)에서도 같았다(p<0.05). 한편, 전분 입자의 깨어지는 정도를 나타내어 호화액의 안정성을 예측할 수 있는 강하점도는 최고점도에서 최저점도를 뺀 값으로 ‘바로미2’ 혼합비율이 높을수록 호화액의 안정도가 높은 것으로 나타났다(Kim CH 2009). 치반점도는 최종점도에서 최고점도를 뺀 값으로 전분 노화와 관련되며 ‘바로미2’ 혼합비율 증가에 따라 감소하다가 BRM-50을 기점으로 다시 증가하였다. 관련하여 Yoon J 등(2024a)의 연구에서도 ‘바로미2’를 0∼50% 범위에서 밀가루와 혼합하여 호화점도 특성을 살펴보았으며, 쌀가루 첨가량이 많아질수록 최고점도 최저점도, 강하점도, 최종점도 값이 유의하게 증가하여 본 연구와 일치한 결과를 나타냈고 동일한 ‘바로미2’ 첨가비율에서 각 점도값은 매우 유사한 수준이었다. 한편, 동일한 ‘바로미2’ 첨가조건에서 입자 분포와 아밀로스 함량을 보고한 Park HY 등(2024)의 연구에서 ‘바로미2’의 첨가율이 증가할수록 큰 입자(>15 μm)의 분포는 감소하고 작은 입자(<5 μm) 분포가 증가하였으며, 아밀로스의 함량은 감소하여, 호화에 따른 각 점도를 증가시키는 데 영향을 주었을 것으로 생각된다. 이상의 ‘바로미2’ 혼합비율 증가에 따른 호화액의 전반적인 점도 차이를 통해 높은 호화점도는 우리가 떡에서 느끼는 ‘쫄깃함’에서 ‘찐득함’ 유사 물성으로 예측되고, 밀가루 반죽시 형성되는 글루텐에 의한 견고한 ‘쫄깃함’과는 다른 특성으로 여겨진다.

Fig. 1.

Rapid visco-analyzer (RVA) pasting properties of samp mix flour according to the mixing ratio of rice and wheat flour. BRM-0: Wheat flour 100%; BRM-25: ‘Baromi2’ 25%+Wheat flour 75%; BRM-50: ‘Baromi2’ 50%+Wheat flour 50%; BRM-75: ‘Baromi2’ 75%+Wheat flour 25%; BRM-100: ‘Baromi2’ 100%. All results were displayed as mean±standard deviation (n=5). Values with different letters in a column were significantly different at p<0.05 by Duncan’s multiple range test.

2. 반죽의 점도와 유동성

‘바로미2’ 쌀가루와 밀가루 혼합비율에 따른 반죽의 점도와 유동성을 살펴보았으며 그 결과는 Fig. 2와 같다. 결과에서 보이는 바와 같이 점도와 유동성을 통해 쌀가루와 밀가루의 명확한 차이를 확인할 수 있었다. 액체나 반고체 식품은 외부에서 힘을 받으면 흐름이 발생하며 이러한 유동학적 특성을 점도로 나타낸다. 잘 흐르는 것은 점도가 낮고, 잘 흐르지 않는 것은 점도가 높다고 표현하며 이러한 점도는 흐름을 일으키는 외부 힘에 대한 유체의 저항력이며 내부 마찰력의 척도라고 할 수 있다(Lee SY & Kim YR 2017). 점도 측정 결과, BRM-0의 점도는 1,660 cP를 나타냈고 BRM-100은 121 cP로 BRM-0의 7.3% 수준에 해당하는 매우 묽은 상태를 나타냈다. 이에 따라 ‘바로미2’의 혼합비율이 증가할수록 BRM-25, BRM-50, BRM-75가 각각 1,093 cP, 682 cP, 344 cP로 유의적으로 점도가 감소하였고 묽어지는 특성을 확인할 수 있었다(p<0.05). 관련하여 Ha HM 등(2024b)은 가루쌀을 닭 튀김용 프리믹스에 적용하여 반죽의 점도를 살펴보았는데, 가루쌀 분말의 비율이 높아질수록 점도가 유의적으로 감소하는 결과를 나타냈고, Kim JY 등(2021)의 습식제분 쌀가루를 대상으로 한 연구에서도 같은 결과를 나타냈다. 이상의 두 결과는 본 연구 결과와 같았고, 이것은 글루텐이 없는 쌀가루의 첨가비율 변화에 따른 것으로 보인다. 또한 컨시스토미터(consistometer) 내 반죽을 부어 일정한 시간에 이동한 거리를 측정해서 나타낸 유동성(fluidity)은 절대점도의 역수를 가리키며 점도가 높으면 잘 흐르지 않아 이동한 거리가 짧아져 그 값이 작아지며, 점도가 낮으면 잘 흐르기 때문에 이동한 거리는 길어지고 값은 증가한다(Lee SY & Kim YR 2017). 5개 시료의 유동성은 각각 12.70 cm, 14.30 cm, 15.30 cm, 18.00 cm, 22.30 cm를 나타내어 ‘바로미2’ 혼합비율 증가에 따라 유동성도 함께 증가하였고, 반죽 이동거리 증가로 점차 묽어진 상태를 확인하였다(p<0.05).

Fig. 2.

Viscosity (a) and fluidity (b) of sample batter according to the mixing ratio of rice flour and wheat flour. Sample names are referred to Fig. 1. All results were displayed as mean±standard deviation (n=5). Values with different letters in a column were significantly different at p<0.05 by Duncan’s multiple range test.

현재 알려진 쌀가루와 밀가루의 가장 큰 차이점은 글루텐 형성 여부에 있다. 밀가루는 반죽 제조시 글루텐 형성에 따른 단백질 네트워크를 구성하여 응집력 및 질감 특성으로 반죽에 단단함과 유연성을 부여한다. 하지만 밀 알러지, 셀리악병(Celiac disease)이나 비셀리악성 민감성(non-celiac gluten sensitivity)을 유발하기 때문에 글루텐프리 제품의 소비가 늘고 있다(Singla D 등 2024). 반면 쌀가루는 아밀로오스와 아밀로펙틴으로 구성된 전분 구조에 기인하여 texture, pasting, gelatinization 등에 영향을 주며 밀과는 다른 품질 특성을 나타낸다(Jan N 등 2022). 관련하여 쌀가루나 쌀가루에 전분을 추가한 쿠키는 밀가루와 비교하였을 때 퍼짐속도가 증가하고 직경이 커져 더 큰 쿠키가 만들어지는데, 이러한 결과는 ‘바로미2’ 혼합비율 증가에 따라 유동성이 증가한 것과 같은 결과를 보여주었다(Colussi R 등 2012; Mancebo CM 등 2016).

반죽의 점도와 유동성 결과를 통해 ‘바로미2’의 혼합비율 증가시 반죽의 물 첨가량 조정이 필요하며, 물 첨가량을 조정하여 반죽 상태의 점도가 유사한 조건이 되어도 ‘바로미2’와 밀가루 혼합비율에 따른 전분 호화특성 결과를 고려할 때 호화 후 나타나는 특성은 다를 수 있어 이에 따른 추가 시험이 필요할 것으로 생각된다.

3. 반죽 및 부침개의 색도

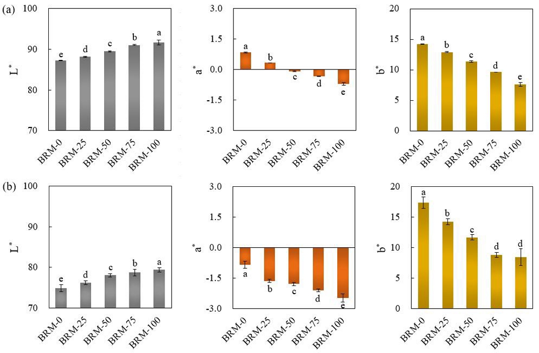
‘바로미2’ 쌀가루와 밀가루 혼합비율에 따른 반죽과 부침개의 색도를 살펴보았으며 그 결과는 Fig. 3과 같다. ‘바로미2’ 혼합비율이 증가함에 따라 반죽과 부침개 시료의 명도를 나타내는 L*값은 증가하였고, 붉은색(+)에서 초록색(—)을 나타내는 a*값과 노란색(+)에서 파란색(—)을 나타내는 b*값은 동일하게 감소하는 경향을 보였다(p<0.05). 이러한 결과는 쌀가루와 밀가루 원료가 갖는 고유한 색의 특성으로 일정 비율의 혼합에 따른 변화에 기인한다고 볼 수 있다. 한편, 반죽과 부침개의 각 색도 값의 범위는 다소 차이를 나타내어 반죽의 L*값은 87.2∼91.7, a*값은 —0.71∼0.84, b*값은 7.60∼14.20였고 부침개의 L*값은 74.9∼79.4, a*값은 —2.48∼—0.83, b*값은 8.47∼17.36로 반죽을 부침개로 가공했을 때 L*값과 b*값 범위는 전반적으로 감소하였고 b*값의 범위는 다소 증가하였다. Park HY 등(2024)이 동일한 ‘바로미2’ 첨가조건에서 살펴본 혼합가루도 ‘바로미2’ 혼합비율 증가에 따라 반죽과 부침개와 동일하게 L*값은 증가하고 a*값과 b*값은 감소하는 경향을 나타냈으며, 혼합가루의 L*값은 반죽과 부침개와 비교하여 가장 높은 수준을 나타냈고, a*값과 b*값은 ‘바로미2’ 혼합비율에 따른 변화 범위가 작았다.

Fig. 3.

Colorimetric characteristics of (a) sample batter and (b) Buchimgae according to the mixing ratio of rice flour and wheat flour. Sample names are referred to Fig. 1. All results were displayed as mean±standard deviation (batter, n=3; Buchimgae, n=10). Values with different letters in a column were significantly different at p<0.05 by Duncan’s multiple range test.

식품의 색은 풍미나 물성 등과 함께 식품의 2차 기능, 즉 감각기능에 관여하며 식품의 품질을 결정하는 중요 요소로서 식품 고유의 색은 식욕을 돋우는 역할을 한다(Lee HJ 등 2014). 부침가루는 다양한 부재료의 활용이 가능한 식재료로서 높은 명도를 나타내는 쌀가루의 이용은 부재료 고유의 색을 보존하며, 최종 음식이나 가공품을 원하는 색으로 바꾸는데 매우 유리할 수 있다. 관련하여 ‘바로미2’의 국수 원료 적용을 위한 Yoon J 등(2004a)의 연구에서도 ‘바로미2’ 첨가비율에 따른 밀가루와의 혼합가루와 반죽한 면대의 색도를 분석한 결과 ‘바로미2’가 첨가됨에 따라 명도가 증가하고 적색도와 황색도가 감소하였다. 그리고 Jan N 등(2022)의 연구에서도 밀가루의 30%를 쌀가루로 대체한 프레즐에서 앞선 연구와 동일한 L*값, a*값, b*값의 변화를 나타내었고 모두 본 연구 결과와 일치하였다.

4. 부침개 크기 및 주요 일반성분

‘바로미2’ 쌀가루와 밀가루 혼합비율에 따른 부침개의 크기와 두께, 수분과 지방함량을 분석하였으며 그 결과는 Table 1과 같다. 부침개의 반죽은 ‘바로미2’ 혼합비율이 증가할수록 점도와 유동성 증가로 퍼짐성에도 영향을 주었다(Fig. 2). 완성된 부침개의 비정형 모양을 반영하여 측정한 긴 지름과 짧은 지름은 ‘바로미2’ 혼합비율이 증가할수록 모두 유의적으로 증가하였고(p<0.05), 긴 지름과 짧은 지름의 차이도 0.50∼1.34 cm로 혼합비율 증가에 따라 점차 커졌다. 반죽의 크기가 커짐에 따라 두께는 감소하여 지름과 상반된 경향을 나타냈다.

Size and general ingredient contents of Buchimgae (Korean pancake) according to the mixing ratio of rice flour and wheat flour

부침개의 수분함량은 조건별 차이를 나타냈으나, 통계적으로 유효하지 않았고, 일정한 경향도 확인할 수 없었다. 그러나 지방함량은 BRM-0가 3.43%로 가장 높았고, ‘바로미2’ 혼합비율 증가와 함께 감소하여 BRM-100은 2.76%로 가장 낮은 함량을 나타냈다.

관련하여 Jongsutjarittam N & Charoenrein S(2013)는 케이크 반죽의 밀가루에 대한 쌀가루 대체율 증가시 점도가 감소하였으며, 이러한 주요한 이유를 글루텐 감소로 제시하면서 반죽내 혼입된 공기의 양이 손실된 것으로 설명하였고, 실제 측정한 케이크의 높이도 감소한 것으로 보고하여, 글루텐 저하에 따른 조직내 단백질 네트워크의 약화로 인한 같은 결과를 나타냈다. 또한 Mukprasirt A 등(2001)의 연구에서 닭튀김에 입히는 반죽을 쌀가루 기반과 밀가루 기반으로 나누어 살펴보았을 때 조리 손실에서 유의적 차이가 없었으며 쌀가루 기반의 반죽에서 흡유율이 더 낮은 결과를 나타내어 본 연구에서 ‘바로미2’ 함량 증가에 따라 지방함량이 감소한 것과 같은 경향을 나타냈고 이 외에도 다수의 연구에서 쌀가루 대체 이용으로 지방량 저하가 확인되었다(Shin F & Daigle K 1999; Shin FF 등 2004; Chang YE 등 2014). 이러한 효과는 쌀가루의 함량을 최대로 증가시켰을 때 가장 효과적일 것으로 생각되며, 글루텐프리 부침개의 건강 증진 효과에 기여할 것으로 기대한다.

5. 부침개 물성

‘바로미2’ 쌀가루와 밀가루 혼합비율에 따른 부침개의 물성을 분석하여 얻은 경도(hardness), 점착성(adhesiveness), 탄력성(springness), 응집성(cohesiveness), 검성(gumminess), 씹힘성(chewiness)은 Table 2와 같다. 점착성을 제외한 경도, 탄력성, 응집성, 검성, 씹힘성은 ‘바로미2’ 혼합비율 증가에 따라 유의적으로 감소하였고(p<0.05), 각각 29.74∼34.34 N, 0.36∼0.60, 0.26∼0.41, 7.94∼13.54 N, 2.55∼7.32 N/mm의 범위를 나타냈다. 이것은 점도 결과에서 언급한 바와 같이 가루쌀의 혼합 증가에 따라 밀가루 유래 글루텐으로 인한 특성이 감소하면서 물성에 영향을 주었을 것으로 추측된다. 한편, 점착성은 BRM-100이 4.46 Nmm으로 BRM-0와 비교하여 2배 이상의 높은 값을 도출하였으며 치아로 저작할 때 BRM-0과 비교하여 BRM-100은 더 쫄깃한 식감이 나타날 것으로 예측되었다.

Textural properties of Buchimgae (Korean pancake) according to the mixing ratio of rice flour and wheat flour

관련한 연구에서 ‘바로미2’를 0∼50% 첨가율에 따라 조리한 수제비의 물성은 가루쌀 첨가량이 증가할수록 경도가 감소하였고, 탄력성이 떨어지는 결과를 나타내어 본 연구 결과와 일치하였다(Yoon J 등 2024b). 또 다른 연구는 제조한 반죽이 부침개와 유사한 형태를 나타내는 닭튀김용 프리믹스 대상으로 가루쌀 혼합율 0∼100%의 튀긴 시료 조직감을 측정한 결과, 경도, 응집성, 탄력성 등 모든 항목에서 유의적인 차이가 없었으며, 이러한 결과로 가루쌀의 100% 적용 가능성을 제시하였다(Ha HM 등 2024b). 한편 Kim SY 등(2025)의 연구는 가루쌀로 글루텐프리 조건에서 포도분말을 첨가한 마들렌을 제조하여 텍스쳐를 살펴보았고, 포도 분말 함유율이 증가할수록(0∼8%) 경도의 감소를 나타냈는데, 이에 대해 가루쌀 감소 보다 포도분말 유래의 지방함량 증가에 원인을 두었다.

밀가루를 대체한 ‘바로미2’ 첨가 비율은 대상 품목의 최종 완성도와 품질에 미치는 글루텐의 영향에 의하여 결정된다. 품질 중 물성은 기기적 측정으로 인간의 오감을 수치화하는데 한계가 있으며, 부침개 물성을 기기적으로 측정할 수 있는 항목은 제한적이다. 따라서 향후 인간 대상의 조직감을 중심으로 한 관능특성 평가가 함께 수행되어야 할 것이다.

6. ‘바로미2’ 혼합비율에 따른 특성간 상관관계

‘바로미2’ 쌀가루와 밀가루 혼합비율에 따라 지금까지 도출된 결과 즉, 전분 호화특성 5종, 반죽의 점도와 유동성, 부침개의 색도 3종, 부침개 크기 관련 2종, 부침개의 일반성분 2종, 조직감 특성 6종에 혼합비율까지 포함한 21종 간 상관관계를 분석하여 이변량 상관계수를 도출하였으며, 그 결과는 Table 3과 같다. 각 특성 변화의 주요 요인인 ‘바로미2’ 쌀가루의 혼합비율은 peak viscosity(—0.991, p<0.001), final viscosity(—0.951, p<0.001), 점도(—0.982, p<0.001), 색도 a값(—0.992, p<0.001), 부침개 두께(—0.857, p<0.001), 응집성(—0.748, p<0.001) 등 많은 특성과 매우 높은 부(—)의 상관을 나타냈고, 반죽의 유동성(0.958, p<0.001), 색도 L값(0.982, p<0.001), 부침개 지름(0.895, p<0.001)과 매우 높은 정(+)의 상관을 보였다. 또한 모든 전분 호화특성은 반죽 점도와 높은 양의 상관을 보였고(0.668∼0.990), 유동성과는 대부분 부의 상관을 보였다(—0.813∼—0.983). 한편, 수분과 지방함량은 대부분의 특성과 유의미한 상관관계를 보이지 않았으나, 수분과 경도의 관계에서는 0.618(p<0.001)을 나타냄으로써 부침개의 수분함량이 부침개의 경도와의 관계성이 높으며 정의 방향으로의 변화를 예측할 수 있었다. 또한 반죽의 점도와 유동성은 경도와 점착성을 제외한 부침개의 조직적 특성과 다소 높은 상관을 보였는데, 점도는 부의 상관(—0.548∼—0.714)을 유동성은 정의 상관(0.671∼0.731)을 나타냈다.

Correlation coefficients between the characteristics of Buchimgae (Korean pancake) premixes according to the mixing ratio of rice flour and wheat flour

관련하여 밀가루 원료와 쿠키의 특성 간 상관성 연구에서 단백질 함량이 낮고 점성이 낮은 밀가루가 좋은 퍼짐성을 갖는다고 하였고, 쿠키 제조 시 글루텐 형성은 퍼짐성이 감소하고 단단한 쿠키가 만들어져 쿠키의 품질을 감소시킨다고 하였다(Miller RA & Hoseney RC 1997; Lim EY 등 2007). 이는 본 연구에서 반죽 점도와 유동성이 부의 관계(—0.898, p<0.05)를 나타낸 것과 유동성과 부침개의 경도가 관계성은 낮으나 부의 관계(—0.514, p<0.01)를 나타낸 결과와 일치하였다. Jeong GA 등(2023)은 ‘바로미2’ 가루쌀 함량 증가에 따라 국수의 조리 전·후의 색도를 살펴본 결과 L값은 증가하고 a값과 b값은 감소하는 결과를 얻었는데, 본 연구에서 혼합율과 L값이 높은 정의 상관(0.982, p<0.001), a(—0.992, p<0.001)와 b값(—0.996, p<0.001)이 높은 부의 상관을 나타낸 것과 일치하였다. 반면 Ha HM 등(2024b)은 조리된 닭튀김에서 ‘바로미2’ 대체비율이 증가함에 따라 명도가 유의적으로 감소하였으며 적색도는 증가하는 것으로 나타나 상반된 결과를 보여주었고, 이것은 frying 조건, 부재료 종류 등에 따른 maillard 반응 차이로 생각된다.


요 약

본 연구에서는 기존 쌀가루와 다르게 건식 제분에 적합한 ‘바로미2’ 품종을 대상으로 부침가루의 밀가루 대체성 검토를 위하여 쌀가루와 밀가루 혼합조건에 따른 물리화학적 특성을 살펴보았다. 시료는 ‘바로미2’와 밀가루 혼합비율을 0:100(BRM-0), 25:75(BRM-25), 50:50(BRM-50), 75:25(BRM-75), 100:0(BRM-100)의 조건으로 제조하였고, 두 가지 주원료의 특성을 면밀히 살펴보기 위하여 그 외 다른 첨가물은 추가하지 않았다. 전분 호화과정 중 측정된 최고점도, 최저점도 등 모든 전분 호화특성은 ‘바로미2’의 혼합비율이 증가할수록 함께 유의적으로 증가하여 쌀가루 부침개의 물성 변화를 예측할 수 있었다(p<0.05). 반면 반죽 점도는 BRM-100(‘바로미2’ 100%)이 BRM-0(밀가루 100%)의 7.3% 수준까지 감소하여 크게 묽어진 특성을 나타냈고 유동성 증가와 함께 부침개 지름은 증가하고 두께는 감소하였다(p<0.05). ‘바로미2’ 혼합비율 증가에 따라 반죽과 부침개의 색도 L*값은 증가, a*값과 b*값은 감소하는 같은 경향을 나타냈고, 반죽과 비교하여 부침개의 모든 색도는 전반적으로 감소하였다. 한편, 부침개의 수분함량은 차이를 보이지 않아, 다른 분석항목에서 수분에 따른 영향을 배제하여 관찰할 수 있었고, 지방함량은 ‘바로미2’ 혼합비율 증가에 따라 감소하여 부침가루의 밀가루 대체에 대한 건강증진을 기대할 수 있었다. 향후 소비 기호에 주요한 영향을 줄 수 있는 물성은 ‘바로미2’ 혼합비율 증가에 따라 점착성을 제외한 모든 특성이 감소하였다(p<0.05). 상관분석을 통하여 ‘바로미2’ 혼합비율과 높은 양의 상관과 부의 상관을 갖는 특성을 확인하였고, 그 외 특성간에도 매우 높은 상관으로 ‘바로미2’의 혼합비율은 부침개의 품질에 매우 주요한 조건임을 확인하였다. 이상의 본 연구결과는 향후 적절한 ‘바로미2’의 혼합비율을 찾기 위한 기초자료로 활용될 수 있을 것으로 기대하며, ‘바로미2’ 활용으로 수입 밀가루의 소비가 감소하기를 바란다.

Acknowledgments

본 논문은 농촌진흥청 공동 연구개발 과제(과제번호 RS-2022-RD010419)의 지원으로 이루어졌으며, 이에 감사드립니다.

REFERENCES

  • Ahn JS, Yoon HH (2024) Quality characteristics of sponge cake made with floury rice. Culi Sci & Hos Res 30(10): 41-51. [https://doi.org/10.20878/cshr.2024.30.10.005]
  • AOAC (2000) Official Methods of Analysis. 17th ed. Association of Official Analytical Chemists, Washington, DC.
  • Chang YE, Kim JS, Lee JH, Kim KM, Kim GC (2014) Quality characteristics of Korean pan-fried food (Jeon) added with lactic-fermented rice flour. J Korean Soc Food Sci Nutr 43(6): 868-876. [https://doi.org/10.3746/jkfn.2014.43.6.868]
  • Colussi R, Souza JML de, Pinto VZ, Schiavon R de A, Elias MC (2012) Propriedades físicas de biscoitos tipo cookie elaborados com farinha de arroz e castanha-do-brasil. Simpósio Brasileiro de Qualidade do Arroz 5: 517-520.
  • Ha HM, Hwang SY, Ryu DH, Dai S, Lee IS (2024a) Effect of floury rice powder addition on quality characteristics of snap cookies. FoodServ Ind J 20(6): 369-381.
  • Ha HM, Lee YK, Lee IS (2024b) Quality characteristics of fried chicken using pre-mix made with the addition of floury rice powder. J Korean Soc Food Cult 39(4): 226-233.
  • Ha SK, Kim BK, Hwang WH, Mo YJ, Jeong JM, Lee DK, Kim WJ, Kim JJ, Jeung JU (2022) Early maturing rice variety “Baromi2” with a floury endosperm and suitable for dry-milling of rice grain. Korean J Breed Sci 54(4): 433-441. [https://doi.org/10.9787/KJBS.2022.54.4.433]
  • Jan N, Naik HR, Gani G, Bashir O, Amin T, Wani SM, Sofi SA (2022) Influence of replacement of wheat flour by rice flour on rheo-structural changes, in vitro starch digestibility and consumer acceptability of low-gluten pretzels. Food Prod Process Nutr 4: 9. [https://doi.org/10.1186/s43014-022-00088-y]
  • Jeong GA, Park HY, Kwak J, Lee CJ (2023) Preparation and quality characteristics of noodles added with Baromi 2 floury rice. Food Eng Prog 27(4): 399-404. [https://doi.org/10.13050/foodengprog.2023.27.4.399]
  • Jongsutjarittam N, Charoenrein S (2013) Influence of waxy rice flour substitution for wheat flour on characteristics of batter and freeze-thawed cake. Carbohydr Polym 97(2): 306-314. [https://doi.org/10.1016/j.carbpol.2013.04.087]
  • Kim CH (2009) Quality characteristics of Paeksulgi (Korean rice cake) containing various levels of whey protein isolate powder. J Korean Soc Food Cult 24(5): 561-569.
  • Kim DH (2015) Food Chemistry. Tamgudang, Korea. pp 404-408.
  • Kim GH, Kim SH, Park SH (2023) Application of Baromi 2 rice flour on baguette and its physicochemical analysis. Food Eng Prog 27(4): 394-398. [https://doi.org/10.13050/foodengprog.2023.27.4.394]
  • Kim JS (2024) Quality characteristics of muffins with added floury rice powder. Culi Sci & Hos Res 30(7): 10-18. [https://doi.org/10.20878/cshr.2024.30.7.002]
  • Kim JY, Jeon JE, Lee IS (2021) Effects of the substitution of wet-milled rice flour for wheat flour on the physicochemical properties and acceptability of yellow layer cake. J Korean Soc Food Cult 36(5): 492-501. [https://doi.org/10.9724/kfcs.2020.36.5.492]
  • Kim SY, Kim YJ, Choi HY, Jeon HR, Kang KO (2025) Quality characteristics of madeleines using floury rice (Baromi 2) grown in Anseong City added with various levels of grape powder. FoodServ Ind J 21(3): 229-242.
  • Korean Statistical Information Service (KOSIS) (2025) Annual Rice Consumption. http://kosis.kr, . (accessed on 9. 11. 2025).
  • Lee HJ, Moon TH, Noh BS, Chang PS, Baek HH, Lee KG, kim SJ, Yoo SH, Lee KW (2014) Food Chemistry. Soohaksa, Korea. pp 340-346.
  • Lee SY, Kim YR (2017) Food Rheology. Sookaksa, Korea. pp 50-55.
  • Lim EY, Chang HG, Park YS (2007) Physicochemical properties and the product potentiality of soft wheats. Korean J Food Sci Technol 39(4): 412-418.
  • Mancebo CM, Rodriguez P, Gómez M (2016) Assessing rice flour-starch-protein mixtures to produce gluten free sugarsnap cookies. LWT-Food Sci Technol 67: 127-132. [https://doi.org/10.1016/j.lwt.2015.11.045]
  • Miller RA, Hoseney RC (1997) Use of elongational viscosity to estimate cookie diameter. Cereal Chem 74(5): 614-616. [https://doi.org/10.1094/CCHEM.1997.74.5.614]
  • Ministry of Agriculture Food and Rural Affairs (MAFRA) (2025a) Strengthening Food Security and Achieving Rice Upply-Demand Balance’ by Vitalizing the Rice Processing Industry Using Powdered Rice Flour. https://www.mafra.go.kr, . (accessed on 9. 11. 2025)
  • Ministry of Agriculture Food and Rural Affairs (MAFRA) (2025b) Third five-year basic plan for the development of the rice processing industry and promotion of rice utilization. https://www.mafra.go.kr, . (accessed on 9. 11. 2025).
  • Ministry of Agriculture Food and Rural Affairs (MAFRA) (2025c) More diverse and delicious rice processed products with rice flour, full-scale launch in the second half of this year. https://www.mafra.go.kr, . (accessed on 9. 11. 2025).
  • Mukprasirt A, Herald TJ, Boyle DL, Boyle EAE (2001) Physicochemical and microbiological properties of selected rice flour-based batters for fried chicken drumsticks. Poult Sci 80(7): 988-996. [https://doi.org/10.1093/ps/80.7.988]
  • Park HY, Lee CG, Lee JS, Lee JH, Choi HS, Park J, Sim EY, Kim HS, Kwak J (2024) Physicochemical characteristics by mixing ratio of rice flour customized elite cultivar ‘Baromi2’ and wheat flour. Korean J Food Sci Technol 56(3): 311-319. [https://doi.org/10.9721/KJFST.2024.56.3.311]
  • Park HY, Lee JH, Lee JS, Kim Y, Kwak J (2023) Analysis of general ingredients and micronutrient in rice flour, including the new variety ‘Baromi2’, and wheat flour. Korean J Food Sci Technol 55(3): 271-277. [https://doi.org/10.9721/KJFST.2023.55.3.271]
  • Shih F, Daigle K (1999) Oil uptake properties of feried batters from rice flour. J Agric Food Chem 47(4): 1611-1615. [https://doi.org/10.1021/jf980688n]
  • Shih FF, Boué SM, Daigle KW, Shih BY (2004) Effects of flour sources on acrylamide formation and oil uptake in fried batters. J Am Oil Chem Soc 81(3): 265-268. [https://doi.org/10.1007/s11746-004-0893-8]
  • Singla D, Malik T, Singh A, Thakur S, Kumar P (2024) Advances in understanding wheat-related disorders: A comprehensive review on gluten-free products with emphasis on wheat allergy, celiac and non-celiac gluten sensitivity. Food Chem Adv 4: 100627. [https://doi.org/10.1016/j.focha.2024.100627]
  • Yang S, Kwak J, Mun J, Kim J, Song Y, Baek J, Lee HS, Cho JI, Shon J (2025) Effect of pre-harvest sprouting under field conditions on the milling and physicochemical properties of the floury rice cultivar ‘Baromi2’. Korean J Crop Sci 70(3): 142-150.
  • Yoon J, Oh S, Lee JY, Kim M, Ham HM, Han N, Kim HJ, Lee YY, Kang MS, Park J (2024a) Noodle processing suitability based on mixing ratios of floury rice cultivar ‘Baromi 2’ and wheat flours. Korean J Food Sci Technol 56(6): 756-762. [https://doi.org/10.9721/KJFST.2024.56.6.756]
  • Yoon J, Oh S, Park H, Kim H, Choi H, Park J (2024b) Physicochemical characteristics of wheat-flour mixed powders and cooking properties of Sujebi based on addition of the ‘Baromi2’ rice cultivar. Food Eng Prog 28(1): 53-59. [https://doi.org/10.13050/foodengprog.2024.28.1.53]

Fig. 1.

Fig. 1.
Rapid visco-analyzer (RVA) pasting properties of samp mix flour according to the mixing ratio of rice and wheat flour. BRM-0: Wheat flour 100%; BRM-25: ‘Baromi2’ 25%+Wheat flour 75%; BRM-50: ‘Baromi2’ 50%+Wheat flour 50%; BRM-75: ‘Baromi2’ 75%+Wheat flour 25%; BRM-100: ‘Baromi2’ 100%. All results were displayed as mean±standard deviation (n=5). Values with different letters in a column were significantly different at p<0.05 by Duncan’s multiple range test.

Fig. 2.

Fig. 2.
Viscosity (a) and fluidity (b) of sample batter according to the mixing ratio of rice flour and wheat flour. Sample names are referred to Fig. 1. All results were displayed as mean±standard deviation (n=5). Values with different letters in a column were significantly different at p<0.05 by Duncan’s multiple range test.

Fig. 3.

Fig. 3.
Colorimetric characteristics of (a) sample batter and (b) Buchimgae according to the mixing ratio of rice flour and wheat flour. Sample names are referred to Fig. 1. All results were displayed as mean±standard deviation (batter, n=3; Buchimgae, n=10). Values with different letters in a column were significantly different at p<0.05 by Duncan’s multiple range test.

Table 1.

Size and general ingredient contents of Buchimgae (Korean pancake) according to the mixing ratio of rice flour and wheat flour

Sample1)2) Size General ingredient content
Major-diameter (cm) Minor-diameter (cm) Thickness (mm) Moisture (%) Lipid (%)
1) Sample names are referred to Fig.1.
2) Sample is a Buchimgae sheet made with only 30 g of mixed powder.
3) All results were displayed as mean±standard deviation (size, n=10; general proximate contents, n=5).
4) Values with different letters in a column were significantly different at p<0.05 by Duncan’s multiple range test.
5) *** p<0.001.
BRM-0 11.78±0.223)d4) 11.28±0.34c 3.60±0.37a 59.16±1.57 3.43±0.45
BRM-25 12.47±0.24c 11.90±0.17b 3.12±0.14b 58.90±0.86 3.53±0.97
BRM-50 13.12±0.56b 12.62±0.51a 3.09±0.17b 60.77±5.69 3.22±0.44
BRM-75 13.44±0.39b 12.54±0.39a 2.52±0.11c 55.22±4.39 2.89±0.36
BRM-100 14.24±0.58a 12.90±0.91a 2.50±0.19c 57.73±1.69 2.76±0.90
F-value 48.33***5) 15.34*** 46.05*** 1.84 1.46

Table 2.

Textural properties of Buchimgae (Korean pancake) according to the mixing ratio of rice flour and wheat flour

Sample1)2) Hardness
(N)
Adhesiveness
(Nmm)
Springness Cohesiveness Gumminess
(N)
Chewiness
(N/mm)
1) Sample names are referred to Table 1.
2) Sample is a Buchimgae sheet made with only 30 g of mixed powder.
3) All results were displayed as mean±standard deviation (n=20).
4) Values with different letters in a column were significantly different at p<0.05 by Duncan’s multiple range test.
5) ** p<0.01, *** p<0.001.
BRM-0 33.31±2.023)a4) 2.17±1.01b 0.60±0.09a 0.41±0.07a 13.54±2.60a 7.32±2.43a
BRM-25 32.90±1.96a 2.35±0.92b 0.52±0.05b 0.34±0.04b 11.11±1.56b 5.16±1.23b
BRM-50 34.34±2.33a 2.86±1.14b 0.40±0.09C 0.29±0.06c 10.12±2.46b 3.80±1.71c
BRM-75 29.74±3.56b 2.37±1.03b 0.36±0.05c 0.27±0.03cd 7.97±1.25c 2.55±0.71d
BRM-100 31.11±3.04b 4.46±2.08a 0.39±0.06c 0.26±0.05d 7.94±1.40c 2.80±0.76d
F-value 9.5816***5) 10.2787** 37.7330*** 27.7776*** 29.2876*** 33.7929***

Table 3.

Correlation coefficients between the characteristics of Buchimgae (Korean pancake) premixes according to the mixing ratio of rice flour and wheat flour