
홍경천 분말을 첨가한 쿠키의 품질 특성 및 항산화 활성
Abstract
Cookies were prepared with added Rhodiola rosea L. powder to increase the physiological activity effects and their usability as a food material in the confectionery and bakery sectors. The brightness, redness, and yellowness tended to decrease as the amount of Rhodiola rosea L. powder increased. In addition, the color of the cookies became darker as the amount of Rhodiola rosea L. powder increased, and there was no difference in the size of the cookies (p<0.05). The total phenol, total flavonoid, 2,2-diphenyl-1-picrylhydrazyl (DPPH), and 2,2′-azino-bis-3-ethylbenzothiazoline-6-sulfonic acid (ABTS) radical scavenging activities increased significantly as the amount of Rhodiola rosea L. powder increased (p<0.05). Considering the above results, the product containing 2% Rhodiola rosea L. powder added is the most ideal in terms of nutrition and sensory aspects. Nevertheless, continuous research is needed to find ways to utilize Rhodiola rosea L. powder in various food fields.
Keywords:
Rhodiola rosea L. powder, cookies, antioxidants, sensory evaluation서 론
최근 더위와 같은 기후변화와 과중한 업무로 인해 현대인들의 피로와 스트레스 지수가 높아지면서 이를 완화시키기 위해 기능성 식품의 관심도 및 수요도가 크게 증가하고 있다. 피로는 신체적 또는 정신적인 노력으로 발생하는 무기력 또는 권태를 의미하는 것으로 지속적인 활동이나 신체의 민감도가 일시적으로 감퇴하는 현상을 의미한다(Choi ES & Song MS 2003). 따라서 피로는 신체기능이 저하되어 발생하는 것으로 당분의 소모가 많거나 당의 균형이 깨졌을 때, 몸속에 피로물질 축척 및 신경의 기능 저하 등이 피로의 원인이며, 이를 회복하기 위해서는 피로물질의 제거, 충분한 영양 섭취, 휴식 및 수면이 요구된다(Park SY 1995).
홍경천(Rhodiola rosea L.)은 피자식물문(Angiospemae) 돌나물과(Crassulaceae) 돌꽃(Rhdiola)에 종속하는 식물(Lee EJ 등 2005)로 바위돌꽃으로도 불리며(Kim JY & Lee YJ 2008), 한국, 일본 등의 아시아 및 동유럽의 온도가 낮고, 건조하며, 해발 1,700∼2,300 m의 고산지대에 널리 분포되어 있다(Cui CB 등 2003). 홍경천은 예로부터 작업 능력 향상, 피로회복, 우울증 감소, 신경계통의 자극, 주의력 증진, 체력 증진, 당뇨병 예방, 화상 및 고산병 예방 등에 유효한 전통 약물로 사용되어 왔다(Kelly GS 2001). 홍경천에 함유되어 있는 성분으로는 p-tyrosol, salidroside, flavonoid, penthyl glycoside, monoterpene glycoside, cyanoglycoside, aliphatic glycoside, proanthocyanidin, phenylpropanoid 및 theanine 등이 있으며(Kurkin VA 등 1982), 약리작용으로는 간 기능 개선, 운동기능 증진, 혈압 안정, 항스트레스 및 신경 안정 등에 대한 연구가 보고되었다(Kim JY & Lee YJ 2008). 1970년대부터 러시아의 연구자들이 홍경천의 각종 화학적, 생물학적 및 신체적 스트레스 인자들에 대한 저항력의 증강 효능을 연구하였으며, 그 결과 홍경천을 다양한 생리기능의 변화에 대하여 유효한 효능을 발휘하는 고려 인삼이나 가시오가피와 같은 스트레스에 대한 신체의 저항력과 회복력을 높여주는 천연물질인 ‘아답토젠(adaptogen)’의 일종으로 설명되고 있다(Fulder SJ 1981; Kelly GS 2001; Provalova NV 등 2002). 홍경천 관련 연구로는 간 보호작용(Udintsev SN 등 1992), 학습력과 기억력 개선(Salikhovw RA 등 1997), 항알레르기 효과(Yoshikawa M 등 1997) 등이 있으나, 홍경천을 활용한 제과 및 제빵 관련 연구는 미흡한 실정이다.
오늘날 간편한 식생활 및 후식(디저트) 문화의 증가 등으로 인해 제과 및 제빵의 수요가 꾸준히 증가하고 있다(Cha SS 등 2014). 이를 바탕으로 건강한 제과 및 제빵 제품 개발의 연구 방향성은 천연 생리활성 물질의 항균 작용, 항산화 효과 및 방부 효과 등을 활용하여 진행되고 있으며, 이를 부재료로 적용하려는 수요가 급증하고 있다(Jun KS 2019; Yoon JA 등 2024). 특히 제과에 속하는 쿠키는 밀가루, 달걀, 설탕 및 버터 등을 섞은 반죽에 초콜릿이나 땅콩, 오트밀, 건포도 등과 같이 다양한 맛을 내는 부재료들을 첨가하여 여러 가지 모양으로 구워낸 서양에서는 대중적인 과자이다(Bang BH 등 2011). 쿠키는 다른 제과 제품에 비해 수분함량이 낮아서 미생물적 및 위생적인 변패가 적어 저장성이 뛰어나며(Shin IY 등 1999), 차나 음료와 잘 어울려 모든 연령층에서 간식 및 후식으로 많이 활용되고 있다(Cha SS 등 2014). 천연 생리활성 물질을 부재료로 첨가한 쿠키에 대한 선행연구로는 울금(Ju SM & Hong KW 2011), 흑미 미강(Joo SY & Choi HY 2012), 아로니아(Lee JA & Yoon JY 2016), 질경이(Choi SH 2019), 눈개승마(Han SJ 등 2023), 수국차(Park MH & Kim M 2024), 모링가잎(Oh JH & Kang KO 2025) 쿠키 등이 있다.
이에 본 연구에서는 피로회복에 좋다고 알려진 홍경천 분말을 활용하여 홍경천 분말이 첨가된 쿠키를 제조하여 홍경천 분말의 첨가가 가지는 새로운 품질 특성과 항산화 활성을 확인함으로써 맛과 품질이 우수한 기능성 쿠키를 개발하고자 실시하였다.
재료 및 방법
1. 실험재료
본 연구에 사용된 홍경천 분말은 덕산종합과학(Duksan General Science, Seoul, Korea)을 통해 구매하였으며, 그 외에 제조 시 필요한 재료인 박력분(CJ, Incheon, Korea), 달걀(Chakhan, Co., Gyeonggi, Korea), 버터(Lotte Co., Seoul, Korea), 소금(CJ, Incheon, Korea) 및 설탕(CJ, Incheon, Korea)은 남양주에 있는 대형마트에서 구입하여 사용하였다.
2. 쿠키의 제조
홍경천 분말을 첨가한 쿠키는 Table 1과 같이 Lee JA & Yoon JY(2016)의 제조법을 참고하여 제조하였으며, 예비 실험을 거쳐 홍경천 분말을 0%, 2%, 4%, 6% 및 8%로 첨가하여 쿠키를 제조하였다. 믹싱볼에 계량한 버터를 핸드 믹서(DretecHM-706, Guangdong Xinbao Electrical Appliances Hold-ings, Co., LTD, Seoul, Korea)로 1 min 동안 휘핑한 후, 소금과 설탕을 넣어 약 5 min 정도 크림화하여 살짝 녹을 정도로 만든 다음, 달걀을 3회에 나누어 넣으면서 7 min 동안 혼합하여 크림 상태로 만들었다. 그 후 40 mesh 체에 체질한 박력분, 홍경천 분말을 넣고 혼합한 후, 냉장고에서 1 hr 휴지시켰다. 휴지시킨 반죽을 5 mm 두께로 일정하게 밀어서 편 후, 직경 50 mm 원형 쿠키 틀로 찍어서 성형하여 180℃로 예열된 오븐(SPS43K, Smeg, Seoul, Korea)에서 12 min 동안 구웠다. 완성된 쿠키는 실온에서 1 hr 방랭한 후, 지퍼백에 넣어 보관하면서 본 연구의 시료로 사용하였다(Fig. 1).
3. 쿠키의 색도 측정 및 외관 관찰
홍경천 분말을 첨가한 쿠키의 색도 분석은 색차계(CR-400, Koica Minolta, Osaka, Japan)를 사용하여 측정하였다(Yoon JA 등 2025). 측정 전에 기기에 표준백판(L=93.97, a=—0.63, b=3.85)을 사용하여 보정하였고, 절단된 시료를 원형 cell에 넣어 L(명도, Lightness), a(적색도, Redness), b(황색도, Yellowness) 값을 측정하였다. 쿠키의 외관 및 단면은 카메라(Galaxy S10+, Samsung Co., Seoul, Korea)를 이용하여 % 첨가군별로 한 줄로 배치하고 촬영하여 관찰하였다.
4. 쿠키의 pH, 퍼짐성, 손실률, 팽창률 및 경도 측정
홍경천 분말을 첨가한 쿠키에 대한 pH 측정은 10 g의 시료를 중앙 부위에서 취하여 90 mL증류수에 1 min 동안 균일하게 분산한 후, pH 미터(MP 220, Mettler Toledo Co. LTD., Urdorf, Switzerland)를 이용하여 측정하였다. 쿠키의 % 별로 시료를 취하여 각 시료 당 3회 반복 측정하였다. 홍경천 분말을 첨가한 쿠키 반죽의 퍼짐성 지수(spread factor)는 각각 쿠키의 직경(mm)과 쿠키 6개의 높이(mm)를 측정한 다음, AACC Method 10-50D의 방법(AACC 2000)을 이용하였다. 쿠키의 직경은 쿠키 6개를 가로로 정렬해 그 길이를 측정한 다음, 각각의 쿠키를 90°로 회전시켜 다시 측정해 얻은 수치를 각각 6으로 나누어 평균값을 계산하였다. 두께는 6개의 쿠키를 세로로 쌓아 올려 높이를 측정한 다음, 해체해 쌓아 올린 순서를 바꾸어 다시 쌓아 올려 높이를 측정해 얻은 수치를 각각 6으로 나누어 평균값을 얻었다. 쿠키의 퍼짐성 지수는 쿠키의 두께(mm)와 직경(mm)의 비로 구하였으며, 3회 이상 반복하여 측정하였다. 계산식은 아래의 식을 이용하였다(Lee JK 등 2013).
손실률은 굽기 전과 후의 중량차를 굽기 전의 반죽 한 개의 중량을 나눈 값으로 나타내었으며, 팽창률은 굽기 전과 구운 후, 대조군의 중량을 각각 측정하여 그 차이에 대한 비율로 산출하였고, 3회 반복 측정하였다(Jung KJ & Lee SJ 2011).
경도 측정은 Joo SY 등(2013)의 방법을 활용하여 측정하였다. 시료의 직경 5 mm, 높이 2 mm로 하여 물성측정기(TAXT plus/50 Stable Micro Systems, Bucheon, Korea)를 이용하여 실온에서 3회 반복 측정한 후 평균값을 비교하였다. 측정 조건은 pre-test speed는 2.0 mm/s, test speed는 1.0 mm/s, post test speed는 3.0 mm/s였으며, 높이와 지름이 각각 50.00 mm, 12.45 mm인 원기둥형 탐침(probe)을 사용하였다.
5. 일반성분 분석
홍경천 분말을 첨가한 쿠키에 대한 일반성분 분석은 AOAC법(AOAC 2000)에 의하여 실시하였다. 수분함량은 드라이 오븐(BF-150C, Biofree Co., Seoul, Korea)을 사용하여 105℃에서 상압 가열 건조하여 측정하였다. 조회분 함량은 직접 회화법을 이용하여 진행하였으며, 550℃로 예열된 회화로(KL-160, ADVANTEC Co., Tokyo, Japan)를 사용하여 시료의 항량을 구하였다. 조단백질 함량 분석은 조단백 분석기(Kjeltec TM 2300, FOSS, Hoganas, Sweden)를 사용하였으며, Kjeldahl 질소정량법을 이용하여 단백질 환산계수인 6.25를 곱하여 단백질 함량을 측정하였다. 조지방 함량 분석은 Soxhlet 추출법을 활용하여 조지방 분석기(SOX606, LABTECH, Seoul, Korea)를 사용하여 측정하였다.
6. 무기질 함량 분석
홍경천 분말을 첨가한 쿠키에 대한 무기질 함량은 Kim HR 등(2007)이 제시한 방법을 변형하여 칼슘, 구리, 철, 마그네슘, 망간, 납 및 아연을 분석하였다. 0.5 g의 시료를 취하여 비커에 넣고, 질산(HNO3)을 일정량 첨가하여 시계 접시(watch glass)에 넣은 다음, 50℃ 핫플레이트(hot plate) 위에서 5시간 이상 반응시키면서 노란색을 띠는 맑은 용액이 될 때까지 분해하였다. 분해시킨 시료를 비커에 넣고 증발시킨 다음, 증발시킨 산의 농도가 1∼5%가 되도록 증류수로 희석해 가며 약 50 g의 시료액을 조제하였다. 각 시료에 함유된 무기질 함량은 Inductively Coupled Plasma Mass Spectrometer(ICP-MS, ELAN DRC Ⅱ, PerkinElmer, Waltham, MA, USA)로 분석하였다.
7. 메탄올 추출물 제조
홍경천 분말을 첨가한 쿠키 추출물 제조는 Yoon JA 등(2025)의 연구에서 제시한 방법을 활용하여 실험용 분쇄기(NSG-100 2SS, Hanil, Seoul, Korea)를 사용하여 분쇄하였으며, 이를 70% 메탄올에 침지하여 초음파 분산기(UCP10, JeioTech, Daejeon, Korea)를 사용하여 1 hr 동안 60℃에서 균질화시켰다. 균질화시킨 시료는 10 min 동안 4℃에서 6,000×g으로 원심분리하여 상층액을 0.45 μm 여과지(Minisart, Sartorius, Goettingen, Germany)에 여과한 후, 메탄올 추출물을 —18℃에서 보관하였다. 보관된 시료는 총 페놀, 총 플라보노이드, DPPH 및 ABTS 라디칼 소거 활성 측정에 사용하였다.
8. 총 페놀 및 총 플라보노이드 함량 측정
홍경천 분말을 첨가한 쿠키에 대한 총 페놀 함량은 Folin-Denis법(Folin O & Denis W 1912)을 변형하여 분석하였다. 96 well plate에 10 μL 시료, 90 μL 증류수, 1 M Folin-Ciocalteu’s phenol reagent(Sigma, USA) 시약 10 μL를 분주하여 혼합한 다음, 상온에서 5 min 동안 반응시켰다. 여기에 7% sodium carbonate 용액 100 μL와 증류수 40 μL를 혼합하여 암실에서 90 min 동안 방치시킨 다음, 파장 750 nm에서 Multifunction microplate reader(MMR SPARKⓇ, Tecan, Switzerland)를 사용하여 흡광도를 측정하였다. 총 페놀 함량을 정량하기 위한 표준물질로는 gallic acid(Sigma-Aldrich, St. Louis, MO, USA)를 사용하였으며, 시료와 동일한 방법으로 실험하고 검량선을 작성하여 측정하였다. 총 페놀 함량은 mg GAE/g으로 나타내었다(Park SJ 등 2024). 총 플라보노이드 함량은 Moreno MI 등(2000)의 방법을 변형하여 측정하였다. 96 well plate에 20 μL 시료, 80 μL 증류수, 5% sodium nitrite 용액 6 μL를 혼합한 다음, 5 min 동안 상온에서 반응시켰다. 여기에 10% aluminium chloride 용액 6 μL를 첨가하고, 6분간 실온에서 반응시킨 다음, 1 M sodium hydroxide 40 μL와 48 μL의 증류수를 혼합한 다음, Multifunction microplate reader(MMR SPARKⓇ, Tecan, Switzerland)를 사용하여 파장 510 nm에서 흡광도를 측정하였다. 총 플라보노이드 함량을 정량하기 위한 표준물질로 quercetin(Sigma-Aldrich, St. Louis, MO, USA)를 사용하였으며, 시료와 동일한 방법으로 실험하고 검량선을 작성하여 추출물의 총 플라보노이드 함량을 측정하였다. 총 플라보노이드 함량은 mg QE/g으로 나타내었다(Park SJ 등 2024).
9. DPPH 및 ABTS Radical 소거 활성 측정
홍경천 분말을 첨가한 쿠키에 대한 DPPH(2,2-diphenyl-1-picrylhydrazyl) radical 소거 활성은 Blois MS(1958)의 방법을 변형하여 측정하였다. 96 well plate에 45 μL 시료, 0.2 mM DPPH 용액 45 μL, 45 μL의 ethanol을 혼합한 다음, 30 min 동안 상온의 암소에서 반응시켰다. 반응이 끝난 후에 multifunction microplate reader(MMR SPARKⓇ, Tecan, Switzerland)를 사용하여 파장 517 nm에서 흡광도를 측정하였다. 시료에 대한 대조군으로는 ascorbic acid(Sigma-Aldrich, St. Louis, MO, USA)를 사용하였으며, DPPH radical 소거 활성은 시료 용액을 첨가한 첨가구와 첨가하지 않은 무첨가구 사이의 흡광도 차이를 백분율로 나타내었다(Park SJ 등 2024).
- S : 시료 첨가구의 흡광도
- B : blank의 흡광도
- C : control(시료 무첨가구)의 흡광도
홍경천 분말을 첨가한 쿠키에 대한 ABTS(2,2′-azino-bis-3-ethylbenzo-thiszoline-6-dulfonic acid) radical 소거 활성은 Re R 등(1999)의 방법을 변형하여 측정하였다. 7.4 mM ABTS와 2.6 mM potassium persulfate 용액을 동일한 비율로 혼합하여 ABTS stock solution을 제조하였으며, 암소에서 24 hour 동안 반응시켜 활성화된 상태로 만들어 사용하였다. 활성화된 ABTS stock solution을 phosphate buffer saline(PBS, pH 7.4)으로 희석하여 파장 732 nm에서 측정된 흡광도 값이 0.70±0.03이 되도록 한 다음, ABTS working solution 950 μL와 시료 50 μL를 혼합하여 10 min 동안 암소에서 반응시킨 후, multifunction microplate reader(MMR SPARKⓇ, Tecan, Switzerland)를 사용하여 파장 732 nm에서 흡광도를 측정하였다. 시료에 대한 대조군은 ascorbic acid(Sigma-Aldrich, St. Louis, MO, USA)를 사용하였으며, ABTS radical 소거 활성은 시료 용액을 첨가한 첨가구와 첨가하지 않은 무첨가구 사이의 흡광도 차이를 백분율로 나타내었다(Park SJ 등 2024).
- S : 시료 첨가구의 흡광도
- C : Control(시료 무첨가구) 흡광도
10. 기호도 검사
홍경천 분말을 첨가한 쿠키의 관능검사는 삼육대학교 식품영양학과 24∼32세의 석·박사 대학원생 11명을 대상으로 실시하였다. 검사 요원들에게 실험 목적과 평가 방법을 설명한 후, 관능 평가에 참여하도록 하였다. 시료로 사용된 쿠키는 동일한 온도(20℃) 및 크기(직경 50 mm, 높이 5 mm)로 제공하였다. 홍경천 분말의 함량을 달리하여 제조한 쿠키 총 5개에 대한 외관(appearance), 향(flavor), 맛(taste), 조직감(texture) 및 전반적인 기호도(overall acceptability)를 차례대로 5점 기호도 척도를 이용하여 평가하였다.
11. 통계분석
홍경천 분말 첨가 쿠키에 대한 품질 특성에 대한 실험 자료는 SPSS(Statistical Package for Social Science, version 23.0, SPSS Inc., Chicago, IL, USA) 프로그램을 이용하여 3회 반복한 후, 각 시료에 대한 Mean±SD로 나타내었다. 시료 간의 차이 분석을 일원배치 분산분석(one-way ANOVA)을 사용하였으며, 사후 검증은 Duncan’s multiple range test를 이용하여 유의적 차이(p<0.05)를 검증하였다.
결과 및 고찰
1. 색도 및 외관 관찰
홍경천 분말을 첨가한 쿠키의 색도 및 외관은 각각 Table 2와 Fig. 2에 제시하였다. 명도 L값(lightness)은 대조군이 362.93±0.31로 가장 높았으며, 홍경천 분말 0%, 2%, 4%, 6% 및 8% 첨가군에서 각각 299.40±0.61, 272.10±0.36, 268.83±0.68, 247.63±0.65 순으로 유의하게 감소하였다(p<0.05). 적색도 a값(redness)은 대조군에서 156.13±0.67로 가장 높았고, 홍경천 분말 첨가군에 비해 높게 나타나 시료 간의 유의적인 차이가 있었으며(p<0.05), 홍경천 분말을 첨가할수록 (—)값을 보여 녹색이 진해짐을 알 수 있었다. 마찬가지로 황색도 b값(yellowness)은 대조군에서 164.00±0.44로 가장 높았으며, 홍경천 분말의 첨가량이 증가할수록 유의하게 감소하는 경향을 보였다. 홍경천 분말의 첨가량이 증가할수록 명도, 적색도 및 황색도가 감소하는 경향을 보였으며, 이는 흑임자(Lim JA & Lee JH 2015) 및 미나리(Lee WG 2015) 분말을 첨가한 쿠키의 경우 식재료의 첨가량이 증가할수록 명도 감소, 적색도 감소, 황색도 감소하는 것과 같은 결과를 보였다. 또한 흑미 미강(Joo SY & Choi HY 2012) 및 아로니아(Lee JA & Yoon JY 2016) 분말을 첨가한 쿠키의 경우 식재료의 첨가 비율이 증가할수록 명도 감소, 적색도 증가 및 황색도 감소하였으며, 감과피(Lim HS & Cha GH 2014) 및 더덕(Song JH & Lee JH 2014) 분말을 첨가한 쿠키는 식재료의 첨가 비율이 증가할수록 명도 감소, 적색도 증가 및 황색도 증가하는 경향을 보였다. 이는 쿠키를 제조할 때 첨가되는 식재료의 종류 및 첨가되는 비율에 따라 쿠키의 색도에 영향을 미치는 것으로 판단된다.
홍경천 분말을 첨가한 쿠키는 원형틀을 사용하여 제조하였으며, 각각 첨가군 별로 외관 사진을 촬영하여 Fig. 2에 제시하였다. 홍경천 분말의 첨가량이 증가할수록 쿠키의 색이 진한 녹색으로 변화하였으며, 쿠키의 크기는 차이가 없는 것을 관찰할 수 있었다.
2. pH, 퍼짐성, 손실률, 팽창률 및 경도
홍경천 분말을 첨가한 쿠키 반죽의 pH, 퍼짐성, 손실률, 팽창률 및 경도 측정 결과는 Table 3에 제시하였다. pH는 대조군이 7.38±0.01였으며, 홍경천 분말의 첨가량이 증가할수록 감소하는 경향을 보였다(p<0.05). 밀싹 분말을 첨가한 쿠키의 pH는 대조군이 6.22±0.01로 가장 높았으며, 밀싹 분말의 첨가량이 증가할수록 5.60±0.01로 유적으로 감소하였으며(An SH 2015), 흑미 미강(Joo SY & Choi HY 2012), 감과피(Lim HS & Cha GH 2014), 아로니아(Lee JA & Yoon JY 2016) 분말을 첨가한 쿠키에서도 대조군에 비해 식재료 분말의 첨가량이 증가할수록 pH가 감소하여 본 연구 결과와 같은 양상을 보였다. 그러나 흑임자 분말 첨가 쿠키의 경우 흑임자 분말의 첨가량이 증가할수록 pH가 높아졌다고 보고하였다(Lim JA & Lee JH 2015). 퍼짐성은 대조군이 6.30±0.25로 가장 낮았으나 각 군별로 유의한 차이는 없었다. 퍼짐성은 반죽의 점성에 의해 조절되며, 당의 보습성 및 용해성이 낮아 반죽의 유동에 필요한 점도를 갖지 못하면 퍼짐성이 낮게 나타난다. 따라서 본 실험의 경우 부재료인 홍경천 분말이 첨가됨에 따라 반죽의 일정 형태 유지에 필요한 요소인 밀가루의 글루텐(gluten)이 희석되었기 때문으로 사료된다(Lee HJ 등 2011). 부재료의 첨가량 증가에 따른 퍼짐성 증가 현상은 현미 분말(Lee MH & Oh MS 2006), 흑미 미강(Joo SY & Choi HY 2012), 흑임자 분말(Lim JA & Lee JH 2015)을 첨가한 쿠키에서도 보고된 바 있다. 그러나 Lim EJ 등(2009)은 부추 분말의 첨가량이 증가할 경우 많은 섬유소를 함유하고 있는 부추는 섬유소가 그물망을 만들어 쿠키의 퍼짐성을 감소시켰다고 보고하여 본 실험과는 다른 양상을 나타냈다. 손실률은 대조군에서 10.64±0.18%로 나타났으며, 홍경천 분말 2% 및 4% 첨가군에서 12.11±0.98%, 12.94±0.96%로 증가하다가, 홍경천 분말 6% 및 8% 첨가군에서 9.68±0.69%, 9.62±0.05%로 낮게 나타났다. 이는 Lim EJ 등(2009)의 부추 분말 첨가 쿠키의 연구에서 지적했듯이 본 연구에서도 홍경천 분말의 첨가량이 증가함에 따른 퍼짐성 증가로 인해 표면적이 넓어져 오븐 내의 쿠키 반죽으로부터 수분 증발이 용이해졌기 때문으로 판단된다. 팽창률은 대조군에서 105.18±0.23%로 가장 높게 나타났으며, 홍경천 분말의 첨가량이 증가할수록 유의적으로 감소하였다(p<0.05). 표고버섯 분말을 첨가한 쿠키(Kim MJ & Chung HJ 2017)의 경우 대조군이 100.00±0.00%로 가장 높았고, 표고버섯 분말의 첨가량이 증가할수록 57.85±0.84%로 유의하게 감소하여 본 실험 결과와 비슷한 양상으로 나타났다. 경도는 대조군이 148.67±0.58 g으로 가장 높았으며, 홍경천 분말을 첨가할수록 경도는 유의적으로 감소하였다(p<0.05). Kawasome S & Yamano Y(1990)의 연구에서는 첨가되는 부재료의 첨가량, 수분함량 및 단백질 함량 등이 증가할수록 높아진다고 보고하였는데, 홍경천 분말의 경우 첨가량이 증가해도 수분 손실이 크지 않고 단백질 함량이 높지 않아서 경도에 영향을 주지 않은 것으로 판단된다. 파래(Lim EJ 2008) 및 여주(Moon SL & Choi SH 2014) 분말을 첨가한 쿠키는 부재료를 첨가할수록 경도가 유의적으로 감소하였다고 보고하여 본 연구와 유사한 결과를 보였다. 반면 다시마(Cho HS 등 2006) 및 비파잎(Cho HS & Kim KH 2013) 분말을 첨가한 쿠키의 경도는 부재료의 첨가량이 증가할수록 높게 나타난 것으로 보고되었다.
3. 일반성분
홍경천 분말 첨가한 쿠키의 일반성분 분석은 Table 4에 제시하였다. 수분 함량은 대조군이 4.08±0.14로 가장 높게 나타났으며, 홍경천 분말 2% 첨가군에서 3.93±0.07%를 보였으며, 홍경천 분말 2% 첨가군부터 홍경천 분말의 첨가량이 증가할수록 군간에는 유의한 차이가 없었다. 이는 눈개승마 분말(Han SJ 등 2023)을 첨가한 쿠키와 같은 결과를 보였다. 조회분 함량은 8% 첨가군이 0.57±0.05%로 가장 높았으며, 대조군(0.30±0.01)과 유의차로 홍경천 분말의 첨가량이 증가할수록 조회분 함량도 증가하였다(p<0.05). 조지방 함량은 8% 첨가군에서 29.14±0.14%로 가장 높은 수치를 보였으며, 홍경천 분말의 첨가량이 증가할수록 유의적으로 증가하는 경향이 나타났다(p<0.05). 조단백질 함량은 군 간에 유의한 차이가 없었으며, 선행연구(Lee EJ 등 2004; Choi YS & Lee MH 2009)에서 제시했듯이 글루텐 형성에 관여하지 않는 것으로 사료된다.
4. 무기질 함량
홍경천 분말을 첨가한 쿠키의 무기질 함량 분석 결과는 Table 5에 제시하였다. 쿠키에 홍경천 분말의 첨가량이 증가할수록 마그네슘, 칼슘, 망간 및 아연의 함량은 유의하게 증가하였다(p<0.05). 마그네슘의 함량은 100 g당 대조군 103.57±0.24 mg, 홍경천 분말 2% 첨가군 116.20±0.86 mg, 4% 첨가군 123.49±0.55 mg, 6% 첨가군 133.24±0.13 mg 및 8% 첨가군 150.46±0.21 mg으로 나타났다(p<0.05). 칼슘 함량은 100 g당 대조군 125.42±0.24에 비해 홍경천 분말 8% 첨가군에서 169.51±0.28 mg으로 유의하게 증가하였다(p<0.05). 망간과 아연의 함량은 100 g당 홍경천 분말 8% 첨가군에서 각각 3.76±0.12 mg과 6.33±0.22 mg으로 가장 높은 수치를 보였다(p<0.05). 구리와 납은 대조군과 첨가군 모두에서 검출되지 않았다(자료는 제시하지 않음). 선행연구(Yoon JA & Shin KO 2024)에서 오디 분말의 첨가량이 증가할수록 칼슘과 마그네슘 함량이 증가하는 것으로 나타났으며, 밀웜 분말을 첨가한 머핀 연구(Yoon JA & Shin KO 2023)에서도 칼슘, 마그네슘, 아연의 함량이 증가하였다고 보고하였는데, 이는 본 연구 결과와 유사한 결과를 보였다. 또한 땅콩 새싹 분말(Lee YK 등 2024)을 첨가한 마들렌에서는 칼슘의 함량이 높게 나타났는데, 이는 부재료의 첨가량에 따른 무기질 함량의 변화가 발생하는 것으로 사료된다.
5. 총 페놀 및 총 플라보노이드 함량
홍경천 분말을 첨가한 쿠키의 총 페놀 및 총 플라보노이드 함량 결과는 Table 6에 제시하였다. 총 페놀 함량은 대조군 5.00±0.08 mg GAE/g, 홍경천 분말 2% 첨가군 6.05±0.04 mg GAE/g, 4% 첨가군 6.86±0.13 mg GAE/g, 6% 첨가군 7.20±0.12 mg GAE/g 및 8% 첨가군 7.78±0.09 mg GAE/g으로 나타났으며, 홍경천 분말 첨가량이 증가할수록 쿠키의 총 페놀 함량은 증가하였다(p<0.05). 이는 Kim SH 등(2017) 및 Joo SY 등(2018)의 연구에서 식물체의 항산화 기능성을 뒷받침하는 주요 물질인 페놀 함량이 농도 의존적으로 증가한다는 양상과 일치하였다. 총 페놀성 화합물 함량의 측정은 항산화 능력의 척도가 되는 것으로 알려져 있으며(Yun EA 등 2013), 페놀화합물은 식물계에 널리 분포하는 대사산물로 환원제, 수소공여체 및 활성산소 소거제 등의 다양한 생리활성으로 작용한다고 보고되었다(Ryu JY 등 2018). 홍경천(Rhodiola species)은 ‘아답토젠(adaptogen)’으로 분류되는 대표적인 약용 식물로서 신체적, 정신적 스트레스에 대한 저항력을 높여주는 것으로 알려져 있으며, 피로 회복, 면역 기능 조절 및 간 보호 등 다양한 생리 활성과 밀접하게 관련되어 있다(Lee EJ 등 2005; Kim JY & Lee YJ 2008; Jung HS 등 2008). 특히, 홍경천의 이러한 효능은 로사빈(rosavin) 및 살리드로사이드(salidroside) 등과 같은 특이 성분뿐만 아니라, 플라보노이드와 페놀성 화합물과 같은 다양한 이차 대사산물에 기인하는 것으로 보고되었다(Ghasemzadeh A & Ghasemzadeh N 2011). 본 연구에서 총 플라보노이드 함량은 대조군 3.31±0.31 mg QE/g, 홍경천 분말 2% 첨가군 4.38±0.20 mg QE/g, 4% 첨가군 6.25±0.31 mg QE/g, 6% 첨가군 6.38±0.40 mg QE/g 및 8% 첨가군 7.58±0.20 mg QE/g 순으로 유의하게 증가하였다(p<0.05). 이는 홍경천 추출물이 항산화 활성을 가진 페놀성 화합물과 플라보노이드를 다량 함유하고 있으며, 농도 증가에 따라 이러한 유효 성분의 함량이 비례적으로 높아지는 것으로 판단된다.
6. DPPH 및 ABTS radical 소거 활성
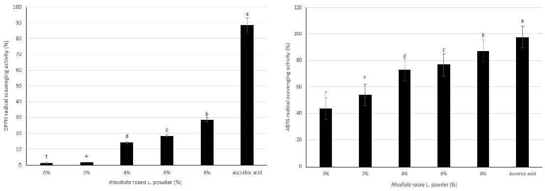
홍경천 분말을 첨가한 쿠키의 DPPH 및 ABTS radical 소거 활성은 Fig. 3에 제시하였다. DPPH radical 소거 활성은 positive control인 ascorbic acid가 89.58±0.05%였으며, 대조군 1.23±1.13%, 홍경천 분말 2% 첨가군 1.86±0.64%, 4% 첨가군 14.29±1.22%, 6% 첨가군 18.37±1.60% 및 8% 28.52±0.34%로 나타났다(p<0.05). 아로니아 분말을 첨가한 쿠키의 품질 특성 연구(Lee JA & Yoon JY 2016)에서 양송이버섯의 첨가량이 증가할수록 DPPH radical 소거 활성은 대조군이 7.4%, 2% 첨가군 16.1%, 4% 첨가군 27.6%, 6% 첨가군 26.1% 및 8% 첨가군 38.8%로 첨가량이 증가할수록 유의적으로 증가하였다고 보고하였다. 또한 DPPH radical 소거 활성은 양송이버섯(Lee JS & Jeong SS 2009), 솔잎(Choi HY 2009) 및 상수리(Kim OS 등 2012) 분말을 첨가한 쿠키의 연구에서도 본 연구와 비슷하게 부재료의 첨가량이 증가할수록 DPPH radical 소거 활성이 유의적으로 증가하는 양상을 보였으며, 양송이버섯, 솔잎 및 상수리 등에 존재하는 총 플라보노이드 등이 강한 항산화력을 가지고 있는 것으로 판단된다. ABTS radical 소거 활성은 대조군 43.62±0.86%, 홍경천 분말 2% 첨가군 54.00±0.26%, 4% 첨가군 73.17±0.20%, 6% 첨가군 76.86±0.17% 및 8% 첨가군 87.01±0.20%로 유의하게 증가하였다(p<0.05). 흑임자 분말을 첨가한 쿠키의 품질 특성 연구(Lim JA & Lee JH 2015)에서 본 연구와 마찬가지로 흑임자 분말의 첨가량이 증가할수록 ABTS radical 소거 활성도 유의적으로 증가하는 경향을 보였으며, 이는 DPPH radical 소거 활성과 ABTS radical 소거 활성이 높은 상관관계가 있다고 보고된 바 있다(Ryu JY 등 2018). 특히 ABTS radical 소거 활성은 높은 농도에서 87.01%에 달하는 매우 강력한 소거 활성을 보였으며, 이는 홍경천 추출물이 다양한 유형의 자유라디칼을 효과적으로 소거할 수 있는 능력을 갖고 있음을 의미한다. Jung HS 등(2008)의 연구에서는 홍경천 추출물(KH101)이 강제 유영 흰쥐의 피로 회복에 미치는 영향을 규명하면서, 운동으로 인한 산화 스트레스 감소가 피로 회복에 기여할 수 있음을 시사하였다. 본 연구에서 확인된 홍경천 추출물의 항산화 능력은 이와 같은 피로 회복 효능의 분자적 기전을 뒷받침하는 결과로 해석될 수 있다. 또한 Lee EJ 등(2005)의 연구에서는 홍경천 뿌리 추출물이 간독성으로부터 간을 보호하는 작용이 있음을 보고하였다. 간 손상은 흔히 자유 라디칼 생성 및 산화 스트레스와 밀접하게 연관되어 발생하므로, 본 연구에서 확인된 홍경천 추출물의 항산화 활성은 간 보호 효과의 중요한 메커니즘으로 작용할 수 있음을 시사한다. 따라서 홍경천 추출물의 강력한 항산화 활성은 면역 기능을 강화하는 데 기여할 수 있을 것으로 판단되며, 이와 관련된 후속연구가 필요하다고 사료된다.
DPPH and ABTS radical scavenging activity of of muffin with Rhodiola rosea L. powder. Each value in mean±S.D. Value with different letters were significantly different at p<0.05 by Duncan’s multiple range test.0%: Control (flour without Rhodiola rosea L. powder).2%: Flour with 2% Rhodiola rosea L. powder.4%: Flour with 4% Rhodiola rosea L. powder.6%: Flour with 6% Rhodiola rosea L. powder.8%: Flour with 8% Rhodiola rosea L. powder.
7. 기호도 검사
홍경천 분말을 첨가한 쿠키의 외관, 향, 맛, 조직감 및 전반적인 기호도의 5가지 항목을 측정한 기호도 검사 결과는 Table 7에 제시하였다. 0%, 2%, 4%, 6% 및 8% 홍경천 분말을 첨가한 쿠키의 외관(appearance)은 5점 만점에 4.10±0.88, 4.60±0.70, 3.80±1.30, 3.30±1.16 및 3.00±1.00으로 나타났으며(p<0.05), 향(flavor)은 홍경천 분말 2% 첨가군에서 4.20±0.45로 가장 높은 수치를 보였다(p<0.05). 맛(taste)은 홍경천 분말 2% 첨가군에서 4.80±0.45로 가장 높게 나타났으며, 홍경천 분말의 첨가량이 증가할수록 낮아지는 경향을 보였다(p<0.05). 조직감(texture)은 홍경천 분말 2% 첨가군에서 4.20±0.84로 가장 높게 나타났으며, 홍경천 분말 8% 첨가군에서 2.90±0.99로 가장 낮게 나타났다(p<0.05). 전반적인 기호도(overall preference) 측면에서는 홍경천 분말 2% 첨가군이 4.70±0.48로 가장 선호도가 높았다(p<0.05). 선행연구(Yoon JA & Shin KO 2023)에서 사용된 재료의 특성과 개인의 식성 등 기호도에 따라 달라진다고 보고하였다. 본 연구에서 홍경천 분말을 첨가한 쿠키의 경우 5가지 기호도를 고려하였을 때, 홍경천 분말을 2% 첨가하는 것이 가장 이상적인 비율인 것으로 판단된다.
요 약
본 연구에서는 홍경천 분말을 0%, 2%, 4%, 6% 및 8% 첨가한 쿠키를 제조하여 품질 특성 확인 및 제과제빵 분야에서 식품소재로써 활용도를 높이기 위해 실시하였다. 홍경천 분말의 첨가량이 증가할수록 명도, 적색도 및 황색도가 감소하는 경향을 보였으며, 홍경천 분말의 첨가량이 증가할수록 쿠키의 색은 어두워지고 쿠키의 크기는 차이가 없었다(p<0.05). 홍경천 분말의 첨가량이 증가할수록 pH, 팽창률 및 경도는 감소하는 경향을 보였으며(p<0.05), 퍼짐성 및 굽기 손실률은 증가하는 것으로 나타났다(p<0.05). 홍경천 분말의 첨가량이 증가할수록 수분함량 및 조단백질은 감소하고, 조회분 및 조지방 함량은 증가하였다(p<0.05). 홍경천 분말의 첨가량이 증가할수록 마그네슘, 칼슘, 망간 및 아연의 함량은 유의하게 증가하였다(p<0.05). 홍경천 분말 8% 첨가군에서 총 페놀, 총 플라보노이드, DPPH 및 ABTS radical 소거 활성이 가장 높았다. 그러나 기호도 검사 결과 외관, 향, 맛 조직감 및 전반적인 기호도 모두 홍경천 분말 2% 첨가군을 가장 선호하는 것으로 나타났으며(p<0.05), 홍경천 분말 2% 첨가군이 영양적인 측면과 관능적인 측면에서 가장 이상적이라고 판단된다. 본 연구의 결과를 종합해 볼 때, 다양한 식품 분야에서 지속적인 연구를 통해 홍경천 분말의 활용 방안이 모색되어야 할 것으로 판단된다.
References
- AACC (2000) Approved Methods of the AACC. 10th ed. Method 10-15. American Association of Cereal Chemists, St. Paul MN, USA. pp 10-15.01.
-
An SH (2015) Quality characteristics of cookies made with added wheat sprout powder. Korean J Food Cook Sci 31(6): 687-695.
[https://doi.org/10.9724/kfcs.2015.31.6.687]
- AOAC (2000) Official Method of Analysis. 17th ed. Association of Official Analytical Chemists. Washington DC. pp 33-36.
-
Bang BH, Kim KP, Kim MJ, Jeong EJ (2011) Quality characteristics of cookies added with chungkukjang powder. Korean J Food Nutr 24(2): 210-216.
[https://doi.org/10.9799/ksfan.2011.24.2.210]
-
Blois MS (1958) Antioxidant determinations by the use of a stable free radical. Nature 181(4617): 1199-1200.
[https://doi.org/10.1038/1811199a0]
-
Cha SS, Jung HO, Son HK, Lee JJ (2014) Physicochemical and sensory characteristics of cookies with added purple kohlrabi powder. Food Sci Preserv 21(6): 824-830.
[https://doi.org/10.11002/kjfp.2014.21.6.824]
-
Cho HS, Kim KH (2013) Quality characteristics of cookies prepared with Loquat (Eriobotrya japonica Lindl.) leaf powder. J Korean Soc Food Sci Nutr 42(11): 1799-1804.
[https://doi.org/10.3746/jkfn.2013.42.11.1799]
- Cho HS, Park BH, Kim KH, Kim HA (2006) Antioxidant effect and quality characteristics of cookies made with sea tangle powder. J Korean Soc Food Cult 21(5): 541-549.
-
Choi ES, Song MS (2003) Concept analysis: Fatigue. Korean J Women Health Nurs 9(1): 61-69.
[https://doi.org/10.4069/kjwhn.2003.9.1.61]
-
Choi HY (2009) Antioxidant activity and quality characteristics of pine needle cookies. J Korean Soc Food Sci Nutr 38(10): 1414-1421.
[https://doi.org/10.3746/jkfn.2009.38.10.1414]
- Choi SH (2019) Quality characteristics of cookies added with plantain (Plantago asiatica L.) in powders. Culi Sci & Hos Res 25(8): 152-160.
-
Choi YS, Lee MH (2009) Physicochemical characteristics and cookie potentialities of Korean wheat cultivars. Culi Sci & Hos Res 15(1): 202-208.
[https://doi.org/10.20878/cshr.2009.15.1.018]
-
Cui CB, Lee DS, Ham SS (2003) Antioxidative, antimutagenic and cytotoxic effects of Rhodiola sachalinensis extract. J Korean Soc Food Sci Nutr 32(2): 211-216.
[https://doi.org/10.3746/jkfn.2003.32.2.211]
-
Folin O, Denis W (1912) On phosphotungstic-phosphomolybdic compounds as color reagents. J Biol Chem 12(2): 239-243.
[https://doi.org/10.1016/S0021-9258(18)88697-5]
-
Fulder SJ (1981) Ginseng and the hypothalamic-pituitary control of stress. Am J Chin Med 9(2): 112-118.
[https://doi.org/10.1142/S0192415X81000159]
-
Ghasemzadeh A, Ghasemzadeh N (2011) Flavonoids and phenolic acids: Role and biochemical activity in plants and human. J Med Plants Res 5(31): 6638-6644.
[https://doi.org/10.5897/JMPR11.1404]
-
Han SJ, Park DM, Lee JJ (2023) Quality characteristics and antioxidative activities of cookies containing Aruncus dioicus var. kamtschaticus powder. Korean J Community Living Sci 34(4): 581-600.
[https://doi.org/10.7856/kjcls.2023.34.4.581]
-
Joo SY, Choi HY (2012) Antioxidant activity and quality characteristics of black rice bran cookies. J Korean Soc Food Sci Nutr 41(2): 182-191.
[https://doi.org/10.3746/jkfn.2012.41.2.182]
-
Joo SY, Kim OS, Jeon HK, Choi HY (2013) Antioxidant activity and quality characteristics of cookies prepared with acorn (Quercus species) powder. Korean J Food Cook Sci 29(2): 177-184.
[https://doi.org/10.9724/kfcs.2013.29.2.177]
- Joo SY, Park JD, Choi YS, Sung JM (2018) A study of the optimization of white pan bread added with wheat sprout powder. Culi Sci & Hos Res 24(3): 1-14.
- Ju SM, Hong KW (2011) Quality characteristics and antioxidative effects of cookie prepareds with Curcuma longa L. powder. J East Asian Soc Diet Life 21(4): 535-544.
- Jun KS (2019) Quality characteristics of madeleine adding with Curcuma aromatica powder. Culi Sci & Hos Res 25(11): 114-123.
- Jung HS, Kim EY, Shim ES, Lee HS, Moo EJ, Jin ZH, Kim SY, Sohn YJ, Soh NW (2008) Effects of Rhodiola rosea (KH101) on anti-fatigue in forced swimming rats. J Int Korean Med 29(4): 922-938.
-
Jung KJ, Lee SJ (2011) Quality characteristics of rice cookies prepared with sea mustard (Undaria pinnatifida Suringer) powder. J Korean Soc Food Sci Nutr 40(10): 1453-1459.
[https://doi.org/10.3746/jkfn.2011.40.10.1453]
- Kawasome S, Yamano Y (1990) Effect of storage humidity on moisture and texture of butter sponge. J Home Econ Jpn 41(1): 71-76.
- Kelly GS (2001) Rhodiola rosea: A possible plant adaptogen. Altern Med Rev 6(3): 293-302.
- Kim HR, Lee JH, Kim YS, Kim KM (2007) Chemical characteristics and enzyme activities of Icheon Ge-Geol Radish, Gangwha Turnip, and Korean radish. Korean J Food Sci Technol 39(3): 255-259.
- Kim JY, Lee YJ (2008) A study on the effects of Rhodiola rosea root on the immune system. Kor J Herbol 23(4): 179-189.
-
Kim MJ, Chung HJ (2017) Quality characteristics and antioxidant activities of rice cookies added with Lentinus edodes powder. Korean J Food Preserv 24(3): 421-430.
[https://doi.org/10.11002/kjfp.2017.24.3.421]
-
Kim OS, Ryu HS, Choi HY (2012) Antioxidant activity and quality characteristics of acorn (Quercus autissima Carruther) cookies. J Korean Soc Food Cult 27(2): 225-232.
[https://doi.org/10.7318/KJFC/2012.27.2.225]
-
Kim SH, Yoo SJ, Yoo DG, Kim CE (2017) Quality characteristics and antioxidant activities of white bread added with mistletoe (Viscum album var.) powder. Korean J Community Living Sci 28(1): 81-91.
[https://doi.org/10.7856/kjcls.2017.28.1.81]
- Kurkin VA, Zapesochnaya GG, Klyazinka VG (1982) Flavonoids of R. rosea. Khim Prir Soedin 13: 581-584
- Lee EJ, Im JS, Park CK, Jeon BS, Kyung JS (2005) Anti-hepatotoxic activity of Rhodiola sachalinensis roots. Food Industry and Nutrition 10(3): 37-42.
- Lee EJ, Im JS. Park CG, Jean BS, Kim SC (2004) Food components and volatile flavors in Rhodiola sachalinensis roots. Food Industry and Nutrition 9(1): 53-57.
-
Lee HJ, Park HO, Jang JS, Kim SS, Han CK, Oh JB, Do WY (2011) Antioxidant activity and quality characteristics of American cookies prepared with Job’s tears (Coix lachrymajobi L.) chungkukjang powder and wheat bran powder. Korean J Food Nutr 24(1): 85-93.
[https://doi.org/10.9799/ksfan.2011.24.1.085]
-
Lee JA, Yoon JY (2016). The quality and antioxidant properties of cookies containing aronia powder. Culi Sci & Hos Res 22(5): 179-189.
[https://doi.org/10.20878/cshr.2016.22.5.014]
-
Lee JK, Oh SH, Lim JK (2013) Effect of tapioca starches on quality characteristics of rice cookies. Korean J Food Cook Sci 29(5): 469-478.
[https://doi.org/10.9724/kfcs.2013.29.5.469]
- Lee JS, Jeong SS (2009) Quality characteristics of cookies prepared with button mushroom (Agaricus bisporous) powder. Korean J Food Cook Sci 25(1): 98-105.
- Lee MH, Oh MS (2006) Quality characteristics of cookies with brown rice flour. J Korean Soc Food Cult 21(6): 685-694.
-
Lee WG (2015) Quality characteristics of cookies added with dropwort powder. Culi Sci & Hos Res 21(4): 42-54.
[https://doi.org/10.20878/cshr.2015.21.4.004]
-
Lee YK, Jung YS, Cho EC, Kim DH, Shin KO (2024) Quality characteristics of madeleines prepared with the addition of peanut sprout powder. J East Asian Soc Diet Life 34(4): 298-309.
[https://doi.org/10.17495/easdl.2024.8.34.4.298]
- Lim EJ (2008) Quality characteristics of cookies with added Enteromorha intenstinalis. Korean J Food Nutr 21(3): 300-305.
- Lim EJ, Huh CO, Kwon SH, Yi BS, Cho KR, Shin SG, Kim SY, Kim JY (2009) Physical and sensory characteristics of cookies with added leek (Allium tuberosum Rottler) powder. Korean J Food Nutr 22(1): 1-7.
-
Lim HS, Cha GH (2014) Quality characteristics of cookies with persimmon peel powder. Korean J Food Cook Sci 30(5): 620-630.
[https://doi.org/10.9724/kfcs.2014.30.5.620]
-
Lim JA, Lee JH (2015) Quality and antioxidant properties of cookies supplemented with black sesame powder. J Korean Soc Food Sci Nutr 44(7): 1058-1063.
[https://doi.org/10.3746/jkfn.2015.44.7.1058]
-
Moon SL, Choi SH (2014) Characteristics of cookies quality containing bitter melon (Momordica charantia L.) powder. Culi Sci & Hos Res 20(6): 80-90.
[https://doi.org/10.20878/cshr.2014.20.6.007]
-
Moreno MI, Isla MI, Sampietro AR, Vattuone MA (2000) Comparison of the free radical-scavenging activity of propolis from several regions of Argentina. J Ethnopharmacol 71(1-2): 109-114.
[https://doi.org/10.1016/S0378-8741(99)00189-0]
- Oh JH, Kang KO (2025) Quality characteristics and antioxidant activity of cookies added with moringa (Moringa oleifera L.) leaf powder. FoodService Industry Journal 21(2): 33-46.
-
Park MH, Kim M (2024) Quality characteristics and antioxidant activity of cookies with Hydrangea serrata Seringe leaf powder. Culi Sci & Hos Res 30(1): 1-9.
[https://doi.org/10.20878/cshr.2024.30.1.001]
-
Park SJ, Bae HG, Shin KO (2024) Nutritional function, antioxidant activity and stimulating effect of Alpinia galanga extract. J East Asian Soc Diet Life 34(1): 30-38.
[https://doi.org/10.17495/easdl.2024.2.34.1.30]
- Park SY (1995) The effect of sport drink on heart rate and lactate after exercise. The Korean Journal of Physical Education 34(1): 182-191.
-
Provalova NV, Skurikhin EG, Pershina OV, Suslov NI, Minakova MY, Dygai AM, Goldberg ED (2002) Mechanisms underling the effects of adaptogens on erythropoiesis during paradoxical sleep deprivation. Bull Exp Biol Med 133(5): 428-432.
[https://doi.org/10.1023/A:1019837015668]
-
Re R, Pellegrini N, Proteggente A, Pannala A, Yang M, Rice-Evans C (1999) Antioxidant activity applying an improved ABTS radical cation decolorization assay. Free Radic Biol Med 26(9-10): 1231-1237.
[https://doi.org/10.1016/S0891-5849(98)00315-3]
-
Ryu JY, Park HJ, Lee SL, Koh SY, Lim HJ, Kim HA, Cho SK (2018) Quality characteristics of madeleine added with Halla Gold kiwifruit fermented by lactic acid bacteria. Korean J Food Preserv 25(2): 205-211.
[https://doi.org/10.11002/kjfp.2018.25.2.205]
- Salikhovw RA, Alesandrova IV, Mazuric VK, Mikhailov VF, Ushenkova LN, Poroshenko GG (1997) Effect of Rhodiola rosea on the yield of mutation alterations and DNA repair in bone marrow cells. Patol Fiziol Eksp Ter 4: 22-24.
- Shin IY, Kim HI, Kim CS, Whang K (1999) Characteristics of sugar cookies with replacement of sucrose with sugar alcohol (I) organoleptic characteristics of sugar alcohol cookies. J Korean Soc Food Sci Nutr 28(4): 850-857.
-
Song JH, Lee JH (2014) The quality and antioxidant properties of cookies containing Codonopsis lanceolata powder. Korean J Food Sci Technol 46(1): 51-55.
[https://doi.org/10.9721/KJFST.2014.46.1.51]
- Udintsev SN, Krylova SG, Fomine TI. (1992) The enhancement of the efficacy of adriamycin by using hepatoprotectors of plant origin in metastases of Ehrlich’s adenocarcinoma to the liver in mice. Vopr Onkor 38(10): 1217-1222.
-
Yoon JA, Cho EC, Kim DH, Lee WJ, Shin KO (2025) Physicochemical quality characteristics and sensory evaluation of muffins containing basil (Ocimum basilicum L.) powder. J East Asian Soc Diet Life 35(3): 205-215.
[https://doi.org/10.17495/easdl.2025.6.35.3.205]
-
Yoon JA, Park SJ, Kim DH, Lee JM, Shin KO (2024) Quality characteristics and antioxidant effects of madeleines added with Periplla frutescens (L.) Britton powder. J East Asian Soc Diet Life 34(3): 143-153.
[https://doi.org/10.17495/easdl.2024.6.34.3.143]
-
Yoon JA, Shin KO (2023) Nutritional functionality and quality characteristics of muffins supplemented with Tenebrio molitor Linne (mealworm) powder. J Korean Soc Food Sci Nutr 52(9): 938-946.
[https://doi.org/10.3746/jkfn.2023.52.9.938]
-
Yoon JA, Shin KO (2024) Quality characteristics of muffins produced using mulberry (Morus alba L.) powder. J Korean Soc Food Sci Nutr 53(4): 410-417.
[https://doi.org/10.3746/jkfn.2024.53.4.410]
-
Yoshikawa M, Shimada H, Horikawa S, Murakami T, Shimoda H, Yamahara J, Matsuda H (1997) Bioactive constituents of Chinese natural medicines. IV. Rhodiolas Radix. (2) : On the histamine release inhibitors from the underground part of Rhodiole sacra (Prain ex Hamet) S. H. Fu (Crassulaceae): Chemical structueres of rhodiocyanoside D and Sacranosides A and B. Chem Pharm Bull 45(9): 1498-1503.
[https://doi.org/10.1248/cpb.45.1498]
-
Yun EA, Jung EK, Joo NM (2013) Optimized processing of chicken sausage prepared with turmeric (Curcuma longa L.). J Korean Soc Food Cult 28(2): 204-211.
[https://doi.org/10.7318/KJFC/2013.28.2.204]



